精英家教网 > 高中数学 > 题目详情

已知关于x的方程的两根相等,且θ为锐角,求θ的值.

答案:略
解析:

解:∵方程两根相等,

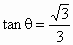
θ为锐角,则


练习册系列答案
相关习题

科目:高中数学 来源: 题型:

已知关于x的方程的两根为,求:(1)的值;

      (2) 的值;

(3) 方程的两根及此时的值

查看答案和解析>>

科目:高中数学 来源:2015届四川省高一4月月考数学试卷(解析版) 题型:解答题

已知关于x的方程的两根为sinθ和cosθ:

(1)求的值;

(2)求m的值.

 

查看答案和解析>>

科目:高中数学 来源:2012年人教A版高中数学必修一3.1函数与方程练习卷(一)(解析版) 题型:解答题

已知关于x的方程ax2-2(a+1)x+a-1=0,探究a为何值时,

(1)方程有一正一负两根;

(2)方程的两根都大于1;

(3)方程的一根大于1,一根小于1

 

查看答案和解析>>

科目:高中数学 来源:2011-2012学年安徽省皖南八校高三第一次联考文科数学试卷解析版 题型:选择题

已知关于x的方程的两根为,且满足

则点(m,n)所表示的平面区域面积为                                                  (    )

A.                                B.                         C.                           D.2

 

 

查看答案和解析>>

科目:高中数学 来源:2011-2012学年四川省绵阳市高三第二次月考文科数学试卷 题型:选择题

已知关于x的方程的两根分别为椭圆和双曲线的离心率.记分别以m、n为横纵坐标的点P(m,n)表示的平面区域为D,若函数的图象上存在区域D上的点,则实数a的取值范围为

A a>2   B    C、   D

 

查看答案和解析>>

同步练习册答案