精英家教网 > 高中数学 > 题目详情
已知点A(2,3),C(0,1),且,则点B的坐标为   
【答案】分析:设出B的坐标,由点的坐标求出所用向量的坐标,代入后即可求得B的坐标.
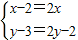
解答:解:设B(x,y),由A(2,3),C(0,1),
所以
,所以(x-2,y-3)=-2(-x,1-y)
,解得
所以B(-2,-1).
故答案为(-2,-1).
点评:本题考查平面向量的坐标运算,考查了向量相等的坐标表示,是基础题.
练习册系列答案
相关习题

科目:高中数学 来源: 题型:

已知点A(2,3),B(-3,-2),若直线l过点P(1,1),且与线段AB相交,求直线l的斜率k的取值范围.

查看答案和解析>>

科目:高中数学 来源: 题型:

已知点A(-2,-3),B(4,1),延长AB至P,使|AP|=3|PB|,求P点的坐标.
精英家教网

查看答案和解析>>

科目:高中数学 来源: 题型:

已知点A(2,-3),B(-3,-2),直线l过点P(3,1),且与线段AB相交,则直线l的斜率的取值范围(  )

查看答案和解析>>

科目:高中数学 来源: 题型:

(2006•西城区二模)已知点A(2,3),C(0,1),且
AB
=-2
BC
,则点B的坐标为
(-2,-1)
(-2,-1)

查看答案和解析>>

科目:高中数学 来源: 题型:

已知点A(-2,-3),B(3,2),直线l过点P(-1,5)且与线段AB有交点,设直线l的斜率为k,则k的取值范围是
k≤-
3
4
或k≥8
k≤-
3
4
或k≥8

查看答案和解析>>

同步练习册答案