已知△ABC中,
,求△ABC的各角度数.
答案:A=45度,B=60度,C=75度
解析:
|
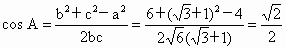
解:∵ ,
∴令 a=2k, , .
由余弦定理,有
 ,
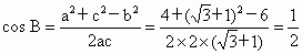
∴ .
 ,
∴
∴ .
|
提示:
|
由比例的性质可以引入一个字母 k,用k表示a、b、c,再由余弦定理求解各角.
根据问题给出的条件 ,设a=2k, , ,为使用余弦定理求角创造条件,这是解答本题的关键一步;在已知三边,求三角时,一般先求小角,后求大角. |
练习册系列答案
相关习题
科目:高中数学
来源:2012-2013学年山西省朔州二中高二(上)期中数学试卷(解析版)
题型:解答题
已知△ABC中,

,求点A的轨迹方程,并说明轨迹是什么图形.
查看答案和解析>>
科目:高中数学
来源:2012-2013学年山西省朔州二中高二(上)期中数学试卷(解析版)
题型:解答题
已知△ABC中,

,求点A的轨迹方程,并说明轨迹是什么图形.
查看答案和解析>>
科目:高中数学
来源:2010-2011学年湖南省衡阳八中高一(上)期中数学试卷(解析版)
题型:解答题
(1)化简:

;
(2)已知△ABC中,

,求cos2A的值.
查看答案和解析>>
科目:高中数学
来源:高考数学一轮复习必备(第66课时):第八章 圆锥曲线方程-轨迹问题(1)(解析版)
题型:解答题
已知△ABC中,

,求点A的轨迹方程,并说明轨迹是什么图形.
查看答案和解析>>
科目:高中数学
来源:2011年高三数学复习(第8章 圆锥曲线):8.7 求轨迹方程(一)(解析版)
题型:解答题
已知△ABC中,

,求点A的轨迹方程,并说明轨迹是什么图形.
查看答案和解析>>