精英家教网 > 高中数学 > 题目详情
设椭圆C:+=1(a>b>0)的离心率e=,右焦点到直线+=1的距离d=,O为坐标原点.
(Ⅰ)求椭圆C的方程;
(Ⅱ)过点O作两条互相垂直的射线,与椭圆C分别交于A,B两点,证明点O到直线AB的距离为定值.并求出定值.
【答案】分析:(I)由右焦点到直线+=1的距离d=,可得,又,及a2=b2+c2联立即可解出;
(II)设A(x1,y1),B(x2,y2),(1)直线AB的斜率存在时,设直线AB的方程为y=kx+m,与椭圆方程联立得到根与系数的关系.由OA⊥OB,可得x1x2+y1y2=0,把根与系数的关系代入即可;(2)直线AB斜率不存在时也满足.
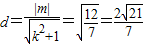
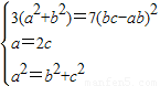
解答:解:(I)由右焦点到直线+=1的距离d=,可得,化为3(a2+b2)=7(bc-ab)2,又,联立得,解得
∴椭圆C的方程为
(II)设A(x1,y1),B(x2,y2),
(1)直线AB的斜率存在时,设直线AB的方程为y=kx+m,联立
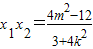
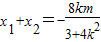
消去y得(3+4k2)x2+8kmx+4m2-12=0,

∵OA⊥OB,∴x1x2+y1y2=0,∴x1x2+(kx1+m)(kx2+m)=0,即
,整理得7m2=12(k2+1),并且满足△>0.
所以O到直线AB的距离为定值.
(2)直线AB斜率不存在时,直线AB的方程为:,化为,点O到直线AB的距离为为定值.
综上(1)(2)可知:点O到直线AB的距离为定值
点评:本题考查了椭圆的标准方程及其性质、直线与椭圆相交问题转化为方程联立得到根与系数的关系、向量垂直与数量积得关系、点到直线的距离公式等基本知识与基本技能,考查了分类讨论的思想方法、推理能力与计算能力..
练习册系列答案
相关习题

科目:高中数学 来源: 题型:解答题

设椭圆C:数学公式+数学公式=1(a>b>0)的左焦点为F1=(-数学公式,0),椭圆过点P(-数学公式数学公式
(1)求椭圆C的方程;
(2)已知点D(l,0),直线l:y=kx+m与椭圆C交于A、B两点,以DA和DB为邻边的四边形是菱形,求k的取值范围.

查看答案和解析>>

科目:高中数学 来源: 题型:解答题

设椭圆C:数学公式=1(a>b>0)的左、右焦点分别为F1、F2,离心率为数学公式,左焦点F1到直线l:数学公式的距离等于长半轴长.
(I)求椭圆C的方程;
(II)过右焦点F2作斜率为k的直线l与椭圆C交于M、N两点,线段MN的中垂线与x轴相交于点P(m,O),求实数m的取值范围.

查看答案和解析>>

科目:高中数学 来源:2013年贵州省贵阳市高考数学二模试卷(理科)(解析版) 题型:解答题

设椭圆C:+=1(a>b>0)过点M(1,1),离心率e=,O为坐标原点.
(I)求椭圆C的方程.
(Ⅱ)若直线l是圆O:x2+y2=1的任意一条切线,且直线l与椭圆C相交于A,B两点,求证:为定值.

查看答案和解析>>

科目:高中数学 来源:2012-2013学年江苏省宿迁市泗阳中学、盱眙中学高三联考数学试卷(解析版) 题型:解答题

设椭圆C:+=1(a>b>0)的左焦点为F,上顶点为A,过点A与AF垂直的直线分别交椭圆C与x轴正半轴于点P、Q,且=
(1)求椭圆C的离心率;
(2)若过A、Q、F三点的圆恰好与直线l:x+y+3=0相切,求椭圆C的方程.

查看答案和解析>>

科目:高中数学 来源:2012年四川省高考数学压轴卷(文科)(解析版) 题型:解答题

设椭圆C:+=1(a>b>0)的左焦点为F1=(-,0),椭圆过点P(-
(1)求椭圆C的方程;
(2)已知点D(l,0),直线l:y=kx+m与椭圆C交于A、B两点,以DA和DB为邻边的四边形是菱形,求k的取值范围.

查看答案和解析>>

同步练习册答案