【答案】
分析:(Ⅰ)设{a
n}的公差为d,{b
n}的公比为q,根据等比数列和等差数列的通项公式,联立方程求得d和q,进而可得{a
n}、{b
n}的通项公式.
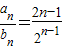
(Ⅱ)数列

的通项公式由等差和等比数列构成,进而可用错位相减法求得前n项和S
n.
解答:解:(Ⅰ)设{a
n}的公差为d,{b
n}的公比为q,则依题意有q>0且

解得d=2,q=2.
所以a
n=1+(n-1)d=2n-1,b
n=q
n-1=2
n-1.
(Ⅱ)

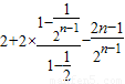
.

,①

,②
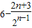
②-①得

,=

=

=

.
点评:本题主要考查等差数列的通项公式和用错位相减法求和.