精英家教网 > 高中数学 > 题目详情

一根长为lcm的线,一端固定,另一端悬挂一个小球,小球摆动时,离开平衡位置的位移s(单位:cm)与时间t(单位:s)的函数关系是,tÎ

(1)求小球摆动的周期;

(2)已知,要使小球摆动的周期是1s,线的长度l应当是多少?(精确到0.1cm)

答案:略
解析:

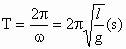
解:(1)小球摆动的周期

(2)g980T=1,∴

.故小球摆动的周期为,要使小球摆动周期为1s,则线的长度应为24.8cm


练习册系列答案
相关习题

科目:高中数学 来源: 题型:044

一根长为lcm的线,一端固定,另一端悬挂一个小球.小球摆动时,离开平衡位置的位移s(单位:cm)与时间t(单位:s)的函数关系是

(1)求小球摆动的周期;

(2)已知,要使小球摆动的周期是1s,线的长度l应当是多少?(精确到0.1cm)

查看答案和解析>>

科目:高中数学 来源:数学教研室 题型:044

一根长为lcm的线,一端固定,另一端悬挂一个小球,小球摆动时,离开平衡位置的位移s(单位:cm)与时间t(单位:s)的函数关系是,tÎ

(1)求小球摆动的周期;

(2)已知,要使小球摆动的周期是1s,线的长度l应当是多少?(精确到0.1cm)

查看答案和解析>>

同步练习册答案