【答案】
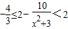
分析:由于

=

=

,结合x
2+3≥3可得

,从而可求函数的值域.
解答:解:∵

=

=

又∵x
2+3≥3
∴

∴

函数的值域为:

故选D
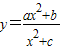
点评:本题主要考查了形如

的函数的值域的求解,长用分类系数法进行求解,解题中要注意由x
2+3≥3
得

时容易漏掉>0这一条件的考虑.
练习册系列答案
相关习题
科目:高中数学
来源:2007-2008学年重庆外国语学校B区高二(上)第一次月考数学试卷(文科)(解析版)
题型:选择题
函数

的值域是( )
A.[2,+∞)
B.(-∞,-2]
C.(-∞,-2]∪[2,+∞)
D.[-2,2]
查看答案和解析>>
科目:高中数学
来源:2011-2012学年湖北省黄冈市浠水县高三9月联考理科数学
题型:选择题
查看答案和解析>>
科目:高中数学
来源:2011-2012学年江西省、遂川中学高三联考文科数学
题型:选择题
查看答案和解析>>
科目:高中数学
来源:2010年江西省四校联考高一上学期期中考试数学试卷
题型:选择题
查看答案和解析>>
科目:高中数学
来源:2010-2011年内蒙古赤峰市高一下学期第一次月考考试数学试卷
题型:选择题
查看答案和解析>>