【答案】
分析:(1)由奇函数的性质得f(0)=0,代入解析式求出a的值,再进行验证;
(2)先判断出函数的单调性,再由单调性定义证明:取值、作差、变形、判断符号、下结论,变形一定要彻底;
(3)利用分离常数法,将条件转化为“t≥f(x)+x对x∈[0,1]恒成立”,结合(2)判断出f(x)+x的单调性,求出此函数的最大值,即可得t得取值范围.
解答:(1)解:∵f(x)是奇函数
∴f(0)=0,即

=0
∴a=1----------------------(3分)
经检验:a=1时f(x)=

是奇函数,满足题意.--------(4分)
(2)f(x)是单调增函数
证明:任取x
1,x
2∈(-∞,+∞),x
1<x
2f(x
1)-f(x
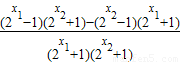
2)=

-

=

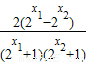
=

----------------------(7分)
∵x
1,x
2∈(-∞,+∞),x
1<x
2∴

,
则f(x
1)-f(x
2)<0,即f(x)在(-∞,+∞)上是单调增函数.----------------------(10分)
(3)由题意分离t得:t≥f(x)+x对x∈[0,1]恒成立----------------------(12分)
由(2)知函数f(x)在(-∞,+∞)上是单调增函数
∴f(x)+x在[0,1]上是单调增函数
∴f(x)+x在[0,1]上的最大值为f(1)+1=

----------------------(14分)
∴t≥

,即所求实数a的取值范围为[

,+∞).----------------------(16分)
点评:本题考查了奇函数的性质应用,函数单调性的证明过程,及恒成立问题的转化等,考查了转化思想和分离常数法.