精英家教网 > 高中数学 > 题目详情
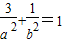
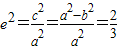
已知离心率为的椭圆(a>b>0)经过点
(1)求椭圆C的方程;
(2)过左焦点F1且不与x轴垂直的直线l交椭圆C于M、N两点,若(O为坐标原点),求直线l的方程.
【答案】分析:(1)根据离心率为的椭圆(a>b>0)经过点,建立方程,确定几何量的值,从而可得椭圆方程;
(2)设直线l的方程代入椭圆方程得:(3k2+1)x2+12k2x+12k2-6=0,根据,可得,再利用,求得k的值,即可求得l的方程.
解答:解:(1)依题意,离心率为的椭圆(a>b>0)经过点
,且
解得:a2=6,b2=2
故椭圆方程为…(4分)
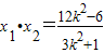
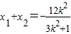
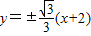
(2)椭圆的左焦点为F1(-2,0),则直线l的方程可设为y=k(x+2)
代入椭圆方程得:(3k2+1)x2+12k2x+12k2-6=0
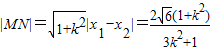
设M(x1,y1),N(x2,y2),∴…(6分)
得:
…(9分)
,原点O到l的距离
=
解得
∴l的方程是…(13分)
(用其他方法解答参照给分)
点评:本题考查椭圆的标准方程,考查直线与椭圆的位置关系,考查三角形面积的计算,正确计算三角形的面积是关键.
练习册系列答案
相关习题

科目:高中数学 来源: 题型:

已知离心率为的椭圆过点是坐标原点.

(1)求椭圆的方程; 

(2)已知点为椭圆上相异两点,且,判定直线与圆的位置关系,并证明你的结论.

查看答案和解析>>

科目:高中数学 来源:2011年广东省韶关市高考数学一模试卷(文科)(解析版) 题型:解答题

已知离心率为的椭圆C1的顶点A1,A2恰好是双曲线的左右焦点,点P是椭圆上不同于A1,A2的任意一点,设直线PA1,PA2的斜率分别为k1,k2
(Ⅰ)求椭圆C1的标准方程;
(Ⅱ)试判断k1•k2的值是否与点P的位置有关,并证明你的结论;
(Ⅲ)当时,圆C2:x2+y2-2mx=0被直线PA2截得弦长为,求实数m的值.
设计意图:考察直线上两点的斜率公式、直线与圆相交、垂径定理、双曲线与椭圆的几何性质等知识,考察学生用待定系数法求椭圆方程等解析几何的基本思想与运算能力、探究能力和推理能力.第(Ⅱ)改编自人教社选修2-1教材P39例3.

查看答案和解析>>

科目:高中数学 来源:2012-2013学年广西柳铁一中高三下学期模拟考试(二)文科数学试卷(解析版) 题型:解答题

已知离心率为的椭圆上的点到左焦点的最长距离为

(Ⅰ)求椭圆的方程;

(Ⅱ)如图,过椭圆的左焦点任作一条与两坐标轴都不垂直的弦,若点轴上,且使得的一条内角平分线,则称点为该椭圆的“左特征点”,求椭圆的“左特征点”的坐标.

 

查看答案和解析>>

科目:高中数学 来源:2014届重庆市高二上学期期中考试理科数学试卷(解析版) 题型:解答题

已知离心率为的椭圆过点为坐标原点,平行于的直线交椭圆于不同的两点

(1)求椭圆的方程。

(2)证明:若直线的斜率分别为,求证:+=0。

 

查看答案和解析>>

科目:高中数学 来源:2011-2012学年重庆市高三上学期期末考试文科数学 题型:解答题

(本小题满分12分)

如题21图,已知离心率为的椭圆过点M(2,1),O为坐标原点,平行于OM的直线交椭圆C于不同的两点A、B。

(1)求面积的最大值;

(2)证明:直线MA、MB与x轴围成一个等腰三角形。

 

 

 

查看答案和解析>>

同步练习册答案