【答案】
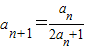
分析:(1)由

变形可得:

,易得数列

为等差数列;
(2)结合(1)中结论,可求出数列{b
nb
n+2}的通项公式,进而利用裂项相消法求出数列{b
nb
n+2}的前n项和T
n后,易得答案.
解答:证明:(1)由

得:

且

,…(2分)
所以数列

是以1为首项,以2为公差的等差数列,…(3分)
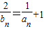
(2)由(1)得:

;------------(5分)
由

得:

,
∴

,------------(7分)
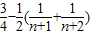
从而:

------------(9分)
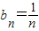
则 T
n=b
1b
3+b
2b
4+…+b
nb
n+2=

=

------------(12分)
=


------------(14分)
点评:本题考查的知识点是等差数列的确定,数列求和,数列与不等式的综合应用,其中(1)的关键是由已知得到

,(2)的关键是由裂项相消法求出数列{b
nb
n+2}的前n项和T
n