精英家教网 > 高中数学 > 题目详情
半径R的半圆卷成一个圆锥,则它的体积为( )
A.πR3
B.πR3
C.πR3
D.πR3
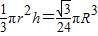
【答案】分析:求出扇形的弧长,然后求出圆锥的底面周长,转化为底面半径,求出圆锥的高,然后求出体积.
解答:解:2πr=πR,所以r=,则h=,所以V=
故选A
点评:本题是基础题,考查圆锥的展开图与圆锥之间的计算关系,圆锥体积的求法,考查计算能力.
练习册系列答案
相关习题

科目:高中数学 来源: 题型:

半径R的半圆卷成一个圆锥,则它的体积为(  )
A、
3
24
πR3
B、
3
8
πR3
C、
5
24
πR3
D、
5
8
πR3

查看答案和解析>>

科目:高中数学 来源:2012-2013学年山东省济宁市微山一中高二(上)期末数学试卷(理科)(解析版) 题型:选择题

半径R的半圆卷成一个圆锥,则它的体积为( )
A.πR3
B.πR3
C.πR3
D.πR3

查看答案和解析>>

科目:高中数学 来源:2011年云南省高三数学一轮复习章节练习:空间几何体(解析版) 题型:选择题

半径R的半圆卷成一个圆锥,则它的体积为( )
A.πR3
B.πR3
C.πR3
D.πR3

查看答案和解析>>

科目:高中数学 来源:不详 题型:单选题

半径R的半圆卷成一个圆锥,则它的体积为(  )
A.
3
24
πR3
B.
3
8
πR3
C.
5
24
πR3
D.
5
8
πR3

查看答案和解析>>

科目:高中数学 来源:不详 题型:单选题

半径R的半圆卷成一个圆锥,则它的体积为(  )
A.
3
24
πR3
B.
3
8
πR3
C.
5
24
πR3
D.
5
8
πR3

查看答案和解析>>

同步练习册答案