精英家教网 > 高中数学 > 题目详情
已知函数f(x)=x2(x-a)+bx
(Ⅰ)若a=3,b=l,求函数f(x)在点(1,f(1))处的切线方程;
(Ⅱ)若b=a+,函数f(x)在(1,+∞)上既能取到极大值又能取到极小值,求a的取值范围;
(Ⅲ)若b=0,不等式1nx+1≥0对任意的恒成立,求a的取值范围.
【答案】分析:(Ⅰ)求导函数,确定切线的斜率,切点的坐标,即可求函数f(x)在点(1,f(1))处的切线方程;
(Ⅱ)求导函数,利用函数f(x)在(1,+∞)上既能取到极大值又能取到极小值,建立不等式,即可求a的取值范围;
(Ⅲ)不等式1nx+1≥0对任意的恒成立,可化为≥a对任意的恒成立,确定左边的最小值,即可求得a的取值范围.
解答:解:(Ⅰ)若a=3,b=l,则f(x)=x3-3x2+x,∴f′(x)=3x2-6x+1
∴f′(1)=3×12-6+1=-2,f(1)=-1
∴函数f(x)在点(1,f(1))处的切线方程为y+1=-2(x-1),即y=-2x+1;
(Ⅱ)∵b=a+,∴f(x)=x3-ax2+(a+)x,∴f′(x)=3x2-2ax+a+
∵函数f(x)在(1,+∞)上既能取到极大值又能取到极小值,
,∴5<a<
(Ⅲ)若b=0,则f(x)=x2(x-a)
∴不等式1nx+1≥0对任意的恒成立,可化为≥a对任意的恒成立,
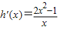
设g(x)=,则g′(x)=
设h(x)=x2-lnx,则(x≥
令h′(x)<0,∵x≥,∴可得;h′(x)>0,∵x≥,∴可得
∴h(x)在上单调递减,在(,+∞)上单调递增
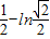
∴h(x)的最小值为h()=>0
∴g′(x)>0,∴g(x)在上单调递增
∴g(x)的最小值为g()=
∴a≤
点评:本题考查导数知识的运用,考查导数的几何意义,考查函数的极值,考查恒成立问题,确定函数的单调性是关键.
练习册系列答案
相关习题

科目:高中数学 来源: 题型:

精英家教网已知函数f(x)=Asin(ωx+φ)(x∈R,A>0,ω>0,|φ|<
π
2
)的部分图象如图所示,则f(x)的解析式是(  )
A、f(x)=2sin(πx+
π
6
)(x∈R)
B、f(x)=2sin(2πx+
π
6
)(x∈R)
C、f(x)=2sin(πx+
π
3
)(x∈R)
D、f(x)=2sin(2πx+
π
3
)(x∈R)

查看答案和解析>>

科目:高中数学 来源: 题型:

(2012•深圳一模)已知函数f(x)=
1
3
x3+bx2+cx+d
,设曲线y=f(x)在与x轴交点处的切线为y=4x-12,f′(x)为f(x)的导函数,且满足f′(2-x)=f′(x).
(1)求f(x);
(2)设g(x)=x
f′(x)
 , m>0
,求函数g(x)在[0,m]上的最大值;
(3)设h(x)=lnf′(x),若对一切x∈[0,1],不等式h(x+1-t)<h(2x+2)恒成立,求实数t的取值范围.

查看答案和解析>>

科目:高中数学 来源: 题型:

(2011•上海模拟)已知函数f(x)=(
x
a
-1)2+(
b
x
-1)2,x∈(0,+∞)
,其中0<a<b.
(1)当a=1,b=2时,求f(x)的最小值;
(2)若f(a)≥2m-1对任意0<a<b恒成立,求实数m的取值范围;
(3)设k、c>0,当a=k2,b=(k+c)2时,记f(x)=f1(x);当a=(k+c)2,b=(k+2c)2时,记f(x)=f2(x).
求证:f1(x)+f2(x)>
4c2
k(k+c)

查看答案和解析>>

科目:高中数学 来源:上海模拟 题型:解答题

已知函数f(x)=(
x
a
-1)2+(
b
x
-1)2,x∈(0,+∞)
,其中0<a<b.
(1)当a=1,b=2时,求f(x)的最小值;
(2)若f(a)≥2m-1对任意0<a<b恒成立,求实数m的取值范围;
(3)设k、c>0,当a=k2,b=(k+c)2时,记f(x)=f1(x);当a=(k+c)2,b=(k+2c)2时,记f(x)=f2(x).
求证:f1(x)+f2(x)>
4c2
k(k+c)

查看答案和解析>>

科目:高中数学 来源:深圳一模 题型:解答题

已知函数f(x)=
1
3
x3+bx2+cx+d
,设曲线y=f(x)在与x轴交点处的切线为y=4x-12,f′(x)为f(x)的导函数,且满足f′(2-x)=f′(x).
(1)求f(x);
(2)设g(x)=x
f′(x)
 , m>0
,求函数g(x)在[0,m]上的最大值;
(3)设h(x)=lnf′(x),若对一切x∈[0,1],不等式h(x+1-t)<h(2x+2)恒成立,求实数t的取值范围.

查看答案和解析>>

同步练习册答案