精英家教网 > 高中数学 > 题目详情
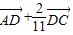
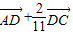
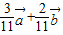
在△ABC中,==,BE与CD交于点P,记==,用表示=   
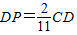
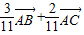
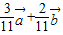
【答案】分析:取AE的三等分点M,使AM=AE,连接DM,由向量的数乘和相似三角形可得====,运算可得.
解答:解:取AE的三等分点M,使AM=AE,连接DM,
设AM=t,则ME=2t,又AE=
则AC=12t,EC=9t,且DM∥BE,
由相似三角形可得=

==
=
=
==
故答案为:
点评:本题考查平面向量基本定理及其应用,涉及向量的加减和数乘运算,属中档题.
练习册系列答案
相关习题

科目:高中数学 来源: 题型:

在△ABC中,角A,B,C所对的边分别为a,b,c,S是该三角形的面积,已知向量
p
=(1,2sinA)
q
=(sinA,1+cosA)
,且满足
p
q

(1)求角A的大小;(2)若a=
3
,S=
3
3
4
,试判断△ABC的形状,并说明理由.

查看答案和解析>>

科目:高中数学 来源: 题型:

在△ABC中,满足
AB
AC
|
AB
|=3,|
AC
|=4
,点M在线段BC上.
(1)M为BC中点,求
AM
BC
的值;
(2)若|
AM
|=
6
5
5
,求BM:BC的值.

查看答案和解析>>

科目:高中数学 来源: 题型:

在△ABC中,若sinB+cosB=
3
-1
2

(1)求角B的大小;
(2)又若tanA+tanC=3-
3
,且∠A>∠C,求角A的大小.

查看答案和解析>>

科目:高中数学 来源: 题型:

在△ABC中,已知sinAsinBcosC=sinAsinCcosB+sinBsinCcosA,若a、b、c分别是角A、B、C所对的边,则
abc2
的最大值为
 

查看答案和解析>>

科目:高中数学 来源: 题型:

在△ABC中,若A=
C
2
,求证:
1
3
c-a
b
1
2

查看答案和解析>>

同步练习册答案