精英家教网 > 高中数学 > 题目详情
已知函数f(x)是定义在实数集R上的不恒为零的偶函数,且对任意实数x都有xf(x+1)=(1+x)f(x),则的值是( )
A.0
B.
C.1
D.
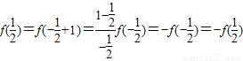
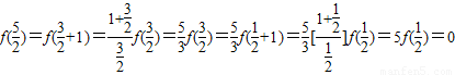
【答案】分析:从xf(x+1)=(1+x)f(x)结构来看,要用递推的方法,先用赋值法求得,再由依此求解.
解答:解:若x≠0,则有,取
则有:
∵f(x)是偶函数,则
由此得
于是,
故选A.
点评:本题主要考查利用函数的主条件用递推的方法求函数值,这类问题关键是将条件和结论有机地结合起来,作适当变形,把握递推的规律.
练习册系列答案
相关习题

科目:高中数学 来源: 题型:

已知函数f(x)=
2x+2-x
2
,g(x)=
2x-2-x
2

(1)计算:[f(1)]2-[g(1)]2
(2)证明:[f(x)]2-[g(x)]2是定值.

查看答案和解析>>

科目:高中数学 来源: 题型:

精英家教网已知函数f(x)=x+
a
x
的定义域为(0,+∞),且f(2)=2+
2
2
.设点P是函数图象上的任意一点,过点P分别作直线y=x和y轴的垂线,垂足分别为M、N.
(1)求a的值.
(2)问:|PM|•|PN|是否为定值?若是,则求出该定值;若不是,请说明理由.
(3)设O为坐标原点,求四边形OMPN面积的最小值.

查看答案和解析>>

科目:高中数学 来源: 题型:

已知函数f(x)=log3
3
x
1-x
,M(x1y1),N(x2y2)
是f(x)图象上的两点,横坐标为
1
2
的点P满足2
OP
=
OM
+
ON
(O为坐标原点).
(Ⅰ)求证:y1+y2为定值;
(Ⅱ)若Sn=f(
1
n
)+f(
2
n
)+…+f(
n-1
n
)
,其中n∈N*,且n≥2,求Sn
(Ⅲ)已知an=
1
6
,                          n=1
1
4(Sn+1)(Sn+1+1)
,n≥2
,其中n∈N*,Tn为数列{an}的前n项和,若Tn<m(Sn+1+1)对一切n∈N*都成立,试求m的取值范围.

查看答案和解析>>

科目:高中数学 来源: 题型:

已知函数f(x)=log3
3
x
1-x
,M(x1,y1),N(x2,y2)是f(x)图象上的两点,且x1+x2=1.
(1)求证:y1+y2为定值;
(2)若Sn=f(
1
n
)+f(
2
n
)+…+f(
n-1
n
)(n∈N*,N≥2),求Sn
(3)在(2)的条件下,若an=
1
6
 ,n=1
1
4(Sn+1)(Sn+1+1)
,n≥2
(n∈N*),Tn为数列{an}的前n项和.求Tn

查看答案和解析>>

科目:高中数学 来源: 题型:

已知函数f(x)=sin(2x-
π
6
),g(x)=sin(2x+
π
3
),直线y=m与两个相邻函数的交点为A,B,若m变化时,AB的长度是一个定值,则AB的值是(  )

查看答案和解析>>

同步练习册答案