精英家教网 > 高中数学 > 题目详情
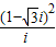
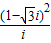
在复平面内,复数对应的点位于( )
A.第一象限
B.第二象限
C.第三象限
D.第四象限
【答案】分析:直接利用复数代数形式的乘除运算,化为a+bi(a,b∈R)的形式,则答案可求.
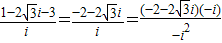
解答:解:==
所以对应的点为().
在第二象限.
故选B.
点评:本题考查了复数代数形式的乘除运算,考查了复数的几何意义,是基础题.
练习册系列答案
相关习题

科目:高中数学 来源:2013-2014学年浙江省温州市高三第一次适应性测试理科数学试卷(解析版) 题型:选择题

在复平面内,复数对应的点在( )

A.第一象限 B.第二象限 C.第三象限 D.第四象限

 

查看答案和解析>>

科目:高中数学 来源:2011-2012学年北京市丰台区高三上学期期末考试文科数学 题型:选择题

在复平面内,复数对应的点位于(    )

    A.第一象限 B.第二象限 C.第三象限 D.第四象限

 

查看答案和解析>>

科目:高中数学 来源:2010-2011学年广东省汕头市高三第一次模拟考试数学文卷 题型:选择题

在复平面内,复数对应的点位于 (     )

A.第一象限        B.第二象限        C.第三象限       D.第四象限

 

查看答案和解析>>

科目:高中数学 来源:2012届河北省高二下学期期末考试数学(理) 题型:选择题

已知,则在复平面内,复数对应的点位于                    (   )

A.第一象限    B. 第二象限    C. 第三象限        D. 第四象限

 

查看答案和解析>>

科目:高中数学 来源:2010年高考试题(北京卷)解析版(理) 题型:填空题

 在复平面内,复数对应的点的坐标为         

 

查看答案和解析>>

同步练习册答案