精英家教网 > 高中数学 > 题目详情
为了庆祝六一儿童节,某食品厂制作了3种不同的精美卡片,每袋食品随机装入一张卡片,集齐3种卡片可获奖.
(Ⅰ) 小丽购买了该食品3袋,求她获奖的概率;
(Ⅱ) 小明购买了该食品5袋,求他获奖的概率;
(Ⅲ) 某幼儿园有324名小朋友,每名小朋友都买了该食品5袋.记获奖的人数为ξ,求ξ的数学期望Eξ.
【答案】分析:(Ⅰ)确定3袋食品中放入的卡片所有的可能的情况,可能获奖的情况,利用古典概型的概率公式,可求小丽获奖的概率;
(Ⅱ)利用对立事件,不能获奖的概率,即可得到结论;
(Ⅲ)ξ~,利用二项分布的概率公式,可求数学期望.
解答:解:(Ⅰ)由于每张卡片,放入食品袋有3种方法,故3袋食品中放入的卡片所有的可能的情况有33种,
而可能获奖的情况有种.
所以小丽获奖的概率是
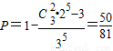
(Ⅱ)由于每张卡片,放入食品袋有3种方法,故5袋食品中放入的卡片所有的可能的情况有35种,
而不能获奖的情况有种.
所以小明获奖的概率是
(Ⅲ)由于324名学生,每名小朋友都买了该食品5袋的概率均为,所以ξ~,所以(人).
点评:本题考查概率知识,考查二项分布的数学期望,考查计算能力,属于基础题.
练习册系列答案
相关习题

科目:高中数学 来源: 题型:

为了庆祝六一儿童节,某食品厂制作了3种不同的精美卡片,每袋食品随机装入一张卡片,集齐3种卡片可获奖,现购买该食品5袋,能获奖的概率为(  )
A、
31
81
B、
33
81
C、
48
81
D、
50
81

查看答案和解析>>

科目:高中数学 来源: 题型:

为了庆祝六一儿童节,某食品厂制作了3种不同的精美卡片,每袋食品随机装入一张卡片,集齐3种卡片可获奖.
(Ⅰ) 小丽购买了该食品3袋,求她获奖的概率;
(Ⅱ) 小明购买了该食品5袋,求他获奖的概率;
(Ⅲ) 某幼儿园有324名小朋友,每名小朋友都买了该食品5袋.记获奖的人数为ξ,求ξ的数学期望Eξ.

查看答案和解析>>

科目:高中数学 来源: 题型:

为了庆祝六一儿童节,某食品厂制作了3种不同的精美卡片,每袋食品随机装入一张卡片,集齐3种卡片可获奖.
(Ⅰ) 小丽购买了该食品3袋,求她获奖的概率;
(Ⅱ) 小明购买了该食品5袋,求他获奖的概率.

查看答案和解析>>

科目:高中数学 来源:江西 题型:单选题

为了庆祝六一儿童节,某食品厂制作了3种不同的精美卡片,每袋食品随机装入一张卡片,集齐3种卡片可获奖,现购买该食品5袋,能获奖的概率为(  )
A.
31
81
B.
33
81
C.
48
81
D.
50
81

查看答案和解析>>

科目:高中数学 来源: 题型:

为了庆祝六一儿童节,某食品厂制作了种不同的精美卡片,每袋食品随机装入一张卡片,集齐种卡片可获奖,现购买该种食品袋,能获奖的概率为(      )

A.           B.         C.      D. 

查看答案和解析>>

同步练习册答案