精英家教网 > 高中数学 > 题目详情
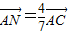
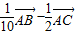
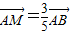
在△ABC中,O为BC的中点,M,N分别在AB,AC上,且AM=6,MB=4,AN=4,NC=3,∠MON=90°,求的值.
【答案】分析:利用向量的三角形法则、向量中点坐标公式、数量积与垂直的关系即可得出.
解答:解:
∵O为中点,有

=
又∵,∴

=
点评:熟练掌握向量的三角形法则、向量中点坐标公式、数量积与垂直的关系等是解题的关键.
练习册系列答案
相关习题

科目:高中数学 来源: 题型:

在△ABC中,O为外心,P是平面内点,且满足
OA
+
OB
+
OC
=
OP
,则P是△ABC的(  )
A、外心B、内心C、重心D、垂心

查看答案和解析>>

科目:高中数学 来源: 题型:

在△ABC中,O为平面上一定点,动点P满足
OP
=
OA
+λ(
AB
+
AC
)
,λ∈[0,+∞),则P的轨迹一定通过△ABC的(  )

查看答案和解析>>

科目:高中数学 来源:江西模拟 题型:单选题

在△ABC中,O为外心,P是平面内点,且满足
OA
+
OB
+
OC
=
OP
,则P是△ABC的(  )
A.外心B.内心C.重心D.垂心

查看答案和解析>>

科目:高中数学 来源:2011-2012学年安徽省淮南四中一模练习数学试卷(5)(解析版) 题型:选择题

在△ABC中,O为外心,P是平面内点,且满足,则P是△ABC的( )
A.外心
B.内心
C.重心
D.垂心

查看答案和解析>>

科目:高中数学 来源:2009-2010学年江西省重点中学协作体高三第二次联考数学试卷(理科)(解析版) 题型:选择题

在△ABC中,O为外心,P是平面内点,且满足,则P是△ABC的( )
A.外心
B.内心
C.重心
D.垂心

查看答案和解析>>

同步练习册答案