【答案】
分析:(1)由


得到sinθ=2cosθ,再结合sin
2θ+cos
2θ=1求出sinθ和cosθ的值;
(2)

,对等式左边用余弦的差角公式展开,得到cosφ=sinφ再有sin
2φ+cos
2φ=1,及0<φ<

求得cosφ的值
解答:解:(1)∵


,
∴

•

=sinθ-2cosθ=0,即sinθ=2cosθ…(2分)
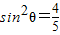
又∵sin
2θ+cos
2θ=1,
∴4cos
2θ+cos
2θ=1,即

,
∴

…(4分)
又

,

…(6分)
(2)∵5cos(θ-φ)=5(cosθcosφ+sinθsinφ)=

=

…(8分)
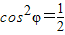
∴cosφ=sinφ,
∴cos
2φ=sin
2φ=1-cos
2φ,
即

…(10分)
又 0<φ<

,
∴

…(12分)
点评:本题考查数量积判断两个平面向量的垂直关系,解题的关键是理解向量垂直的坐标表示公式,以及能熟练利用同角三角函数的基本关系求三角函数值,解本题时要注意隐含条件sin
2θ+cos
2θ=1的运用,本题考查了变形与计算的能力