精英家教网 > 高中数学 > 题目详情
如图,已知正方体ABCD-A'B'C'D'的棱长为a,M为BD'的中点,点N在AC'上,且|A'N|=3|NC'|,试求MN的长.
【答案】分析:由已知中正方体ABCD-A'B'C'D'的棱长为a,M为BD'的中点,点N在A′C'上,且|A'N|=3|NC'|,我们可以以D为原点建立空间坐标系,并根据正方体的几何特征,求出各点的坐标,然后将M,N的坐标代入空间两点距离公式,即可求出答案.
解答:解:以D为原点,建立如图空间直角坐标系.因为正方体棱长为a,
所以B(a,a,0),A'(a,0,a),C'(0,a,a),D'(0,0,a).
由于M为BD'的中点,取A'C'中点O',所以M(),O'(,a).
因为|A'N|=3|NC'|,所以N为A'C'的四等分,从而N为O'C'的中点,故N(,a).
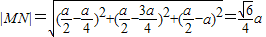
根据空间两点距离公式,可得
点评:本题考查的知识点是空间点、线、面之间的距离,其中根据建立坐标系,求出M,N两点的坐标是解答本题的关键.
练习册系列答案
相关习题

科目:高中数学 来源: 题型:

8、如图,已知正方体ABCD-A1B1C1D1的棱长为3,点E,F在线段AB上,点M在线段B1C1上,点N在线段C1D1上,且EF=1,D1N=x,AE=y,M是B1C1的中点,则四面体MNEF的体积(  )

查看答案和解析>>

科目:高中数学 来源: 题型:

精英家教网如图,已知正方体ABCD-A1B1C1D1的棱长为2,点E为棱AB的中点.
求:
(1)D1E与平面BC1D所成角的正弦值;
(2)二面角D-BC1-C的余弦值.

查看答案和解析>>

科目:高中数学 来源: 题型:

如图,已知正方体ABCD-A1B1C1D1的棱长为2,E、F分别是D1C、AB的中点.
(I)求证:EF∥平面ADD1A1
(Ⅱ)求二面角D-EF-A的余弦值.

查看答案和解析>>

科目:高中数学 来源: 题型:

如图,已知正方体ABCD-A1B1C1D1的棱长为2,点P,Q,R分别是棱AB,CC1,D1A1的中点.
(1)求证:B1D⊥平面PQR;
(2)设二面角B1-PR-Q的大小为θ,求|cosθ|.

查看答案和解析>>

科目:高中数学 来源: 题型:

(2012•宝山区一模)如图,已知正方体ABCD-A1B1C1D1 的棱长为2,E,F分别是BB1,CD的中点.
(1)求三棱锥E-AA1F的体积;
(2)求异面直线EF与AB所成角的大小(结果用反三角函数值表示).

查看答案和解析>>

同步练习册答案