精英家教网 > 高中数学 > 题目详情
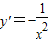
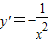
直线y=-x+b是函数f(x)=的切线,则实数b=   
【答案】分析:设切点为P(m,n),求出函数f(x)=的导数,得切线斜率为-
再根据切点P既在切线y=-x+b上又在函数f(x)=的图象上,
列出关于m、n、b的方程组,解之即可得到实数b之值.
解答:解:由于函数f(x)=的导数,若设直线y=-x+b与函数f(x)=相切于点P(m,n),

解之得m=2,n=,b=1或m=-2,n=-,b=-1
综上所述,得b=±1
故答案为:1或-1
点评:本题给出已知函数图象的一条切线,求参数b的值,着重考查了导数的运算公式与法则和利用导数研究曲线上某点切线方程等知识,属于基础题.
练习册系列答案
相关习题

科目:高中数学 来源: 题型:

函数y=kx+b,其中k,b(k≠0)是常数,其图象是一条直线,称这个函数为线性函数,对于非线性可导函数f(x),在点x0附近一点x的函数值f(x),可以用如下方法求其近似代替值:f(x)≈f(x0)+f'(x0)(x-x0),利用这一方法,m=
3.996
的近似代替值是
1.999
1.999

查看答案和解析>>

科目:高中数学 来源:新课标2012届高三下学期二轮复习综合验收(5)数学文科试题 题型:013

已知函教f(x)=Asin(ωx+φ)(A>0,ω>0)的图象与直线y=b(0<b<A)的三个相邻交点的横坐标分别是2,4,8,则f(x)的单调递增区间是

[  ]

A.[6kπ,6kπ+3],k∈Z

B.[6k-3,6k],k∈Z

C.[6k,6k+3],k∈Z

D.[6kπ-3,6kπ],k∈Z

查看答案和解析>>

科目:高中数学 来源:新课标2012届高三下学期二轮复习综合验收(5)数学理科试题 题型:013

已知函教f(x)=Asin(ωx+φ)(A>0,ω>0)的图象与直线y=b(0<b<A)的三个相邻交点的横坐标分别是2,4,8,则f(x)的单调递增区间是

[  ]

A.[6kπ,6kπ+3],k∈Z

B.[6k-3,6k],k∈Z

C.[6k,6k+3],k∈Z

D.[6kπ-3,6kπ],k∈Z

查看答案和解析>>

科目:高中数学 来源:河南省郑州外国语学校2012届高三下学期综合测试验收(5)数学文科试题 题型:013

已知函教f(x)=Asin(ωx+)(A>0,ω>0)的图象与直线y=b(0<b<A)的三个相邻交点的横坐标分别是2,4,8,则f(x)的单调递增区间是

[  ]

A.[6kπ,6kπ+3],k∈Z

B.[6k-3,6k],k∈Z

C.[6k,6k+3],k∈Z

D.[6kπ-3,6kπ],k∈Z

查看答案和解析>>

科目:高中数学 来源:河南省郑州外国语学校2012届高三下学期综合测试验收(5)数学理科试题 题型:013

已知函教f(x)=Asin(ωx+φ)(A>0,ω>0)的图象与直线y=b(0<b<A)的三个相邻交点的横坐标分别是2,4,8,则f(x)的单调递增区间是

[  ]

A.[6kπ,6kπ+3],k∈Z

B.[6k-3,6k],k∈Z

C.[6k,6k+3],k∈Z

D.[6kπ-3,6kπ],k∈Z

查看答案和解析>>

同步练习册答案