精英家教网 > 高中数学 > 题目详情
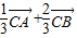
已知△ABC,D为AB边上一点,若=   
【答案】分析:利用向量的加法的法则,以及其几何意义,把化为,和已知的条件作对比,求出 λ 值.
解答:解:∵==+=+
=,∴λ=
故答案为:
点评:本题考查两个向量的加减法的法则,以及其几何意义,利用向量的加法的法则,以及其几何意义,把化为
   是解题的关键.
练习册系列答案
相关习题

科目:高中数学 来源: 题型:

已知△ABC中,
AB
=
a
CA
=
b
,当
a
b
<0时,△ABC的形状为(  )

查看答案和解析>>

科目:高中数学 来源: 题型:013

已知△ABC的顶点为A(20)B(-14)C(51),则( )

A.∠A=108°,∠B=30°,∠C=42°,SABC=7.5

B.∠A=108°,∠B=27°,∠C=45°,SABC=6

C.∠A=108°,∠B=27°,∠C=45°,SABC=7.5

D.∠A=100°,∠B=35°,∠C=45°,SABC=7.5

查看答案和解析>>

科目:高中数学 来源:数学教研室 题型:013

已知△ABC的顶点为A(20)B(-14)C(51),则( )

A.∠A=108°,∠B=30°,∠C=42°,SABC=7.5

B.∠A=108°,∠B=27°,∠C=45°,SABC=6

C.∠A=108°,∠B=27°,∠C=45°,SABC=7.5

D.∠A=100°,∠B=35°,∠C=45°,SABC=7.5

查看答案和解析>>

科目:高中数学 来源: 题型:013

已知△ABC,D为BC边的中点,则

[  ]

A.
B.
C.
D.

查看答案和解析>>

科目:高中数学 来源:必修二训练数学北师版 北师版 题型:013

已知△ABC的顶点为A(2,2,0),B(0,2,0),C(0,1,4),则△ABC是

[  ]

A.直角三角形

B.锐角三角形

C.钝角三角形

D.等腰三角形

查看答案和解析>>

同步练习册答案