精英家教网 > 高中数学 > 题目详情
已知函数f(x)的图象与函数的图象关于点A(0,1)对称.
(Ⅰ)求函数f(x)的解析式;
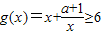
(Ⅱ)若上的值不小于6,求实数a的取值范围.
【答案】分析:(Ⅰ)设f(x)图象上任一点坐标为(x,y),利用点(x,y)关于点A(0,1)的对称点(-x,2-y)在h(x)的图象上,结合函数解析式,即可求得结论;
(Ⅱ)题意可转化为(x∈(0,2])恒成立,利用分离参数法,再求出函数的最值,从而可求实数a的取值范围.
解答:解:(Ⅰ)设f(x)图象上任一点坐标为(x,y),点(x,y)关于点A(0,1)的对称点(-x,2-y)在h(x)的图象上…(3分)

,∴…(6分)
(Ⅱ)由题意,∴
∵x∈(0,2],∴a+1≥x(6-x),即a≥-x2+6x-1,…(9分)
令q(x)=-x2+6x-1=-(x-3)2+8(x∈(0,2]),
∴x∈(0,2]时,q(x)max=7…(11分)
∴a≥7…(12分)
点评:本题考查函数图象的对称性,考查函数解析式求解,考查恒成立问题,分离参数、求最值是关键.
练习册系列答案
相关习题

科目:高中数学 来源: 题型:

已知函数f(x)的图象有且仅有由五个点构成,它们分别为(1,2),(2,3),(3,3),(4,2),(5,2),则f(f(f(5)))=
3
3

查看答案和解析>>

科目:高中数学 来源: 题型:

(2012•天门模拟)已知函数f(x)的图象经过点(1,λ),且对任意x∈R,都有f(x+1)=f(x)+2.数列{an}满足a1=λ-2,2an+1=
2n,n为奇数
f(an),n为偶数

(I)求f(n)(n∈N*)的表达式;
(II)设λ=3,求a1+a2+a3+…+a2n
(III)若对任意n∈N*,总有anan+1<an+1an+2,求实数λ的取值范围.

查看答案和解析>>

科目:高中数学 来源: 题型:

已知函数f(x)的图象关于原点对称,且当x<0时,f(x)=2x-4,那么当x>0时,f(x)=
2x+4
2x+4

查看答案和解析>>

科目:高中数学 来源: 题型:

(2011•焦作一模)已知函数f(x)的图象过点(
π
4
,-
1
2
),它的导函数f′(x)=Acos(ωx+φ)(x∈R)的图象的一部分如图所示,其中A>0,ω>0,|φ|<
π
2
,为了得到函
数f(x)的图象,只要将函数y=sinx(x∈R)的图象上所有的点(  )

查看答案和解析>>

科目:高中数学 来源: 题型:

已知函数f(x)的图象关于直线x=2对称,且当x≠2时其导函数f′(x)满足xf′(x)>2f′(x),若2<a<4,则下列表示大小关系的式子正确的是(  )
A、f(2a)<f(3)<f(log2a)B、f(3)<f(log2a)<f(2a)C、f(log2a)<f(3)<f(2a)D、f(log2a)<f(2a)<f(3)

查看答案和解析>>

同步练习册答案