精英家教网 > 高中数学 > 题目详情
已知椭圆C的中心在坐标原点,焦点在x轴上,它的一个顶点恰好是抛物线的焦点,离心率为
(1)求椭圆C的标准方程;
(2)过椭圆C的右焦点F作直线l交椭圆C于A、B两点,交y轴于M点,若,求证:λ12=-10.
【答案】分析:(1)设出椭圆的方程,把抛物线方程整理成标准方程,求得焦点的坐标,进而求得椭圆的一个顶点,即b,利用离心率求得a和c关系进而求得a,则椭圆的方程可得.
(2)先根据椭圆的方程求得右焦点,设出A,B,M的坐标设出直线l的方程代入椭圆方程整理后利用韦达定理表示出x1+x2和x1x2,进而根据利用题设条件求得λ1和λ2的表达式,进而求得λ12
解答:解:(1)解:设椭圆C的方程为(a>b>0),
抛物线方程化为x2=4y,其焦点为(0,1)
则椭圆C的一个顶点为(0,1),即b=1
,∴a2=5,
所以椭圆C的标准方程为
(2)证明:易求出椭圆C的右焦点F(2,0),
设A(x1,y1),B(x2,y2),M(0,y),显然直线l的斜率存在,
设直线l的方程为y=k(x-2),代入方程并整理,
得(1+5k2)x2-20k2x+20k2-5=0

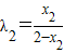
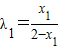
又,
,而
即(x1-0,y1-y)=λ1(2-x1,-y1),(x2-0,y2-y)=λ2(2-x2,-y2

所以
点评:本题主要考查了直线与圆锥曲线的综合问题.考查了学生综合分析问题的能力,知识的迁移能力以及运算能力.
练习册系列答案
相关习题

科目:高中数学 来源: 题型:

已知椭圆C的中心在坐标原点,椭圆C任意一点P到两个焦点F1(-
3
,0)
F2(
3
,0)
的距离之和为4.
(1)求椭圆C的方程;
(2)设过(0,-2)的直线l与椭圆C交于A、B两点,且
OA
OB
=0
(O为坐标原点),求直线l的方程.

查看答案和解析>>

科目:高中数学 来源: 题型:

已知椭圆C的中心在坐标原点,焦点在x轴上,左、右焦点分别为F1,F2,且|F1F2|=2,点P(1,
32
)在椭圆C上.
(I)求椭圆C的方程;
(II)如图,动直线l:y=kx+m与椭圆C有且仅有一个公共点,点M,N是直线l上的两点,且F1M⊥l,F2M⊥l,求四边形F1MNF2面积S的最大值.

查看答案和解析>>

科目:高中数学 来源: 题型:

已知椭圆C的中心在坐标原点,焦点在x轴上且过点P(
3
1
2
)
,离心率是
3
2

(1)求椭圆C的标准方程;
(2)直线l过点E(-1,0)且与椭圆C交于A,B两点,若|EA|=2|EB|,求直线l的方程.

查看答案和解析>>

科目:高中数学 来源: 题型:

(2013•和平区一模)已知椭圆C的中心在坐标原点,焦点在x轴上,离心率为
1
2
,它的一个顶点恰好是抛物线y=
3
12
x2的焦点.
(I)求椭圆C的标准方程;
(II)若A、B是椭圆C上关x轴对称的任意两点,设P(-4,0),连接PA交椭圆C于另一点E,求证:直线BE与x轴相交于定点M;
(III)设O为坐标原点,在(II)的条件下,过点M的直线交椭圆C于S、T两点,求
OS
OT
的取值范围.

查看答案和解析>>

科目:高中数学 来源: 题型:

已知椭圆C的中心在坐标原点,它的一条准线为x=-
5
2
,离心率为
2
5
5

(1)求椭圆C的方程;
(2)过椭圆C的右焦点F作直线l交椭圆于A、B两点,交y轴于M点,若
MA
=λ1
AF
, 
MB
=λ2
BF
,求λ12的值.

查看答案和解析>>

同步练习册答案