精英家教网 > 高中数学 > 题目详情

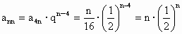
个正数排成n行n列,其中每一行的数都成等差数列,每一列的数都成等比数列,且所有公比相等.已知,求

答案:略
解析:

解:由每一行成等差数列,且,得第4行公差

.又

∴所有各列的公比

.则


练习册系列答案
相关习题

科目:高中数学 来源: 题型:

精英家教网如图,n2(n≥4)个正数排成n行n列方阵:符号aij(1≤i,j≤n)表示位于第i行第j列的正数.已知每一行的数成等差数列,每一列的数成等比数列,且各列数的公比都等于q.若a11=
1
2
,a24=1,a32=
1
4
,则q=
 
,aij=
 

查看答案和解析>>

科目:高中数学 来源: 题型:

将n2个正数排成n行n列(如图),其中每行数都成等比数列,每列数都成等差数列,且所有公比都相等,已知a24=5,a54=6,a56=18,则a26+a34=
61
3
61
3

查看答案和解析>>

科目:高中数学 来源: 题型:

(2013•临沂三模)n2个正数排成n行n列,如下所示:

其中ai,j表示第i行第j列的数.已知每一行中的数依次都成等差数列,每一列中的数依次都成等比数列,且公比均为q,a1,1=-6,a2,4=3,a2,1=-3.
(Ⅰ)求a2,2,a3,3
(Ⅱ)设数列{|a2,k|}(1≤k≤n)的和为Tn,求Tn

查看答案和解析>>

科目:高中数学 来源: 题型:

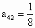
n2个正数排成n行n列(如表),其中每行数都成等差数列,每列数都成等比数列,且所有公比都相同,已知a12=1,a42=
1
8
a43=
3
16
,则a11=
1
2
1
2

查看答案和解析>>

科目:高中数学 来源:同步题 题型:解答题

n2(n≥4)个正数排成n行n列:
a11  a12  a13  a14  …  a1n a21  a22  a23  a24  …  a2n a31  a32  a33  a34  …  a3n
…    …   … an1  an2  an3  an4  …  ann
其中第一行的数成等差数列,每一列中的数成等比数列,并且所有公比相等.已知a24=1,a42=,a43=,求a11+a22+a33+…+ann

查看答案和解析>>

同步练习册答案