精英家教网 > 高中数学 > 题目详情
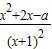
若函数f(x)=在x=1处取极值,则a=   
【答案】分析:先求出f′(x),因为x=1处取极值,所以1是f′(x)=0的根,代入求出a即可.
解答:解:f′(x)==
因为f(x)在1处取极值,
所以1是f′(x)=0的根,
将x=1代入得a=3.
故答案为3
点评:考查学生利用导数研究函数极值的能力.
练习册系列答案
相关习题

科目:高中数学 来源: 题型:

若函数f(x)=-
1
b
eax
在x=0处的切线l与圆C:
x=cosθ
y=sinθ
(θ∈[0,2π))相离,则P(a,b)与圆C的位置关系是
(  )

查看答案和解析>>

科目:高中数学 来源: 题型:

对于函数f(x),g(x),h(x),如果存在实数a,b,使得h(x)=af(x)+bg(x),那么称h(x)为f(x),g(x)的线性生成函数.
(1)给出如下两组函数,试判断h(x)是否分别为f(x),g(x)的线性生成函数,并说明理由.
第一组:f(x)=sinx,g(x)=cosx,h(x)=sin(x+
π
3
)

第二组:f(x)=x2-x,g(x)=x2+x+1,h(x)=x2-x+1.
(2)已知f(x)=log2x,g(x)=log0.5x的线性生成函数为h(x),其中a=2,b=1.若不等式3h2(x)+2h(x)+t<0在x∈[2,4]上有解,求实数t的取值范围;
(3)已知f(x)=x,g(x)=
1
x
,x∈[1,10]
的线性生成函数h(x),其中a>0,b>0.若h(x)≥b对a∈[1,2]恒成立,求实数b的取值范围.

查看答案和解析>>

科目:高中数学 来源: 题型:

(2012•成都一模)已知函数f(x)在[a,b]上连续,定义
f1(x)=f(t)min,x∈[a,b],a≤t≤x
f2(x)=f(t)max,x∈[a,b],a≤t≤x
;其中f(x)min(x∈D)表示f(x)在D上的最小值,f(x)max(x∈D)表示f(x)在D上的最大值.若存在最小正整数k使得f2(x)-f1(x)≤k(x-a)对任意的x∈[a,b]成立,则称函数f(x)为[a,b]上的“k阶收缩函数”.有下列命题:
①若f(x)=cosx,x∈[0,π],则f1(x)=1,x∈[0,π];
②若f(x)=2x,x∈[-1,4],则f2(x)=2x,x∈[-1,4]
③f(x)=x为[1,2]上的1阶收缩函数;
④f(x)=x2为[1,4]上的5阶收缩函数.
其中你认为正确的所有命题的序号为
②③④
②③④

查看答案和解析>>

科目:高中数学 来源: 题型:单选题

若函数f(x)对于任意x∈[a,b],恒有|f(x)-f(a)-数学公式(x-a)|≤T(T为常数)成立,则称函数f(x)在[a,b]上具有“T级线性逼近”.下列函数中:
①f(x)=2x+1;
②f(x)=x2
③f(x)=数学公式
④f(x)=x3
则在区间[1,2]上具有“数学公式级线性逼近”的函数的个数为


  1. A.
    1
  2. B.
    2
  3. C.
    3
  4. D.
    4

查看答案和解析>>

科目:高中数学 来源:2013年福建省宁德市高三质量检查数学试卷(理科)(解析版) 题型:选择题

若函数f(x)对于任意x∈[a,b],恒有|f(x)-f(a)-(x-a)|≤T(T为常数)成立,则称函数f(x)在[a,b]上具有“T级线性逼近”.下列函数中:
①f(x)=2x+1;
②f(x)=x2
③f(x)=
④f(x)=x3
则在区间[1,2]上具有“级线性逼近”的函数的个数为( )
A.1
B.2
C.3
D.4

查看答案和解析>>

同步练习册答案