精英家教网 > 高中数学 > 题目详情
设f(x)=3ax2+2bx+c.若a+b+c=0,f(0)>0,f(1)>0,求证:
(Ⅰ)a>0且
(Ⅱ)方程f(x)=0在(0,1)内有两个实根.
【答案】分析:(I)先将f(0)>0,f(1)>0,利用函数式中的a,b,c进行表示,再结合等式关系利用不等式的基本性质即可得到a和的范围即可.
(II)欲证明方程f(x)=0在(0,1)内有两个实根,根据根的存在性定理,只须证明某一个函数值小于0即可,最后只须证明在二次函数顶点处的函数值小于0即可.
解答:解:证明:(I)因为f(0)>0,f(1)>0,
所以c>0,3a+2b+c>0.
由条件a+b+c=0,消去b,得a>c>0;
由条件a+b+c=0,消去c,得a+b<0,2a+b>0.

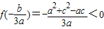
(II)抛物线f(x)=3ax2+2bx+c的顶点坐标为
的两边乘以,得
又因为f(0)>0,f(1)>0,

所以方程f(x)=0在区间内分别有一实根.
故方程f(x)=0在(0,1)内有两个实根.
点评:本题主要考查二次函数的基本性质与不等式的应用等基础知识,考查运算求解能力,考查数形结合思想、化归与转化思想.属于基础题.
练习册系列答案
相关习题

科目:高中数学 来源: 题型:

设f(x)=3ax2+2bx+c.若a+b+c=0,f(0)>0,f(1)>0,求证:
(Ⅰ)a>0且-2<
ba
<-1

(Ⅱ)方程f(x)=0在(0,1)内有两个实根.

查看答案和解析>>

科目:高中数学 来源: 题型:

设f(x)=3ax2+2bx+c,若a+b+c=0,f(0)f(1)>0,求证:
(Ⅰ)方程f(x)=0有实根.
(Ⅱ)-2<
a
b
<-1;设x1,x2是方程f(x)=0的两个实根,则.
3
3
≤|x1-x2|<
2
3

查看答案和解析>>

科目:高中数学 来源: 题型:

设f(x)=3ax2+2bx+c,若a+b+c=0,f(0)>0,f(1)>0,求证:a>0且-2<
ba
<-1.

查看答案和解析>>

科目:高中数学 来源: 题型:

设f(x)=3ax2+2bx+c(a≠0),若a+b+c=0,f(0)•f(1)>0,求证:
(I) -2<
b
a
<-1

(II) 设x1,x2是方程f(x)=0的两个实根,则
3
3
≤|x1-x2|<
2
3

查看答案和解析>>

科目:高中数学 来源: 题型:

设f(x)=3ax2+2bx+c(a≠0),若a+b+c=0,f(0)f(1)>0,求证:
(1)方程f(x)=0有实数根;
(2)-2<
b
a
<-1;
(3)设x1,x2是方程f(x)=0的两个实数根,则
3
3
≤|x1-x2|
3
2

查看答案和解析>>

同步练习册答案