精英家教网 > 高中数学 > 题目详情
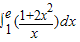
积分的值是   
【答案】分析:先将被积函数化简,再求出被积函数的原函数,从而可得积分的值.
解答:解:==(lnx+x2=(lne+e2)-(ln1+1)=e2
故答案为:e2
点评:本题考查求定积分,解题的关键是求出被积函数的原函数,属于基础题.
练习册系列答案
相关习题

科目:高中数学 来源:2012-2013学年湖北省高三第二次质量检测理科数学试卷(解析版) 题型:选择题

定积分的值是(    )

    A.         B.           C.           D.

 

查看答案和解析>>

科目:高中数学 来源:2013届海南省高二下学期期中理科数学试卷(解析版) 题型:选择题

定积分的值是(  )

A.              B.              C.          D.

 

查看答案和解析>>

科目:高中数学 来源:2011-2012学年山东省高三第二次质量检测理科数学试卷 题型:填空题

积分的值是        

 

查看答案和解析>>

科目:高中数学 来源:2011-2012学年山东省高三第二次质量检测理科数学 题型:填空题

积分的值是        

 

查看答案和解析>>

科目:高中数学 来源:2011-2012学年云南省高三第一次月考理科数学 题型:选择题

计算定积分的值是                                                             (    )

 

A.                  B.            C.          D.

 

查看答案和解析>>

同步练习册答案