精英家教网 > 高中数学 > 题目详情
已知双曲线的两条渐近线方程为,若顶点到渐近线的距离为1,则双曲线方程为   
【答案】分析:由渐近线方程得到双曲线的实半轴、虚半轴之间的关系,再由顶点到渐近线的距离为1,求出实半轴、虚半轴的长,
进而写出双曲线方程.
解答:解:双曲线的焦点在x轴上,∵两条渐近线方程为
=
其中一个顶点的坐标(a,0),
此定点到渐近线x-3y=0 的距离为:=1,∴a=2,∴b=
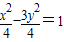
∴所求双曲线的方程为:
点评:本题考查双曲线的标准方程和性质,求出a和b的值,是解题的关键,属于中档题.
练习册系列答案
相关习题

科目:高中数学 来源:重庆市高考真题 题型:解答题

已知以原点D为中心,F(,0)为右焦点的双曲线C的离心率,
(1)求双曲线C的标准方程及其渐近线方程;
(2)如图,已知过点M(x1,y1)的直线l1:x1x+4y1y=4与过点N(x2,y2)(其中x2≠x1)的直线l2:x2x+4y2y=4的交点E在双曲线C上,直线MN与两条渐近 线分别交于G、H两点,求△OGH的面积。

查看答案和解析>>

科目:高中数学 来源: 题型:

已知双曲线的一条渐近方程为,两条准线的距离为1。

   (1)求双曲线的方程;

(2)直线l过坐标原点O且和双曲线交于两点M,N,点P为双曲线上异于M,N的一点,且直线PM,PN的斜率均存在,求kPM?kPN­的值。

查看答案和解析>>

科目:高中数学 来源: 题型:

已知双曲线的两条渐近线方程为,若顶点到渐近

       线的距离为1,则双曲线方程为           

查看答案和解析>>

同步练习册答案