精英家教网 > 高中数学 > 题目详情

扇形AOB的周长为8cm.

(1)若这个扇形的面积为,求圆心角的大小;

(2)求这个扇形的面积取得最大值时圆心角的大小和弦长AB.

答案:略
解析:

解:(1)设扇形的圆心角为q ,扇形所在圆的半径为R,依题意有

解得6

即圆心角的大小为弧度或6弧度.

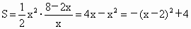
(2)设扇形所在圆的半径为xcm,则扇形的圆心角,于是扇形面积是

故当x=2cm时,S取到最大值.

此时圆心角弧度,弦长2·2sin1=4sin1(cm)

即扇形的面积取得最大值的圆心角等于2弧度,弦长AB4sin1cm


练习册系列答案
相关习题

科目:高中数学 来源:安徽省舒城一中2012届高三上学期第四次月考数学理科试题 题型:044

扇形AOB的周长为8 cm.

(1)若这个扇形的面积为3 cm2,求圆心角的大小;

(2)求该扇形的面积取得最大值时圆心角的大小和弦长AB.

查看答案和解析>>

同步练习册答案