精英家教网 > 高中数学 > 题目详情

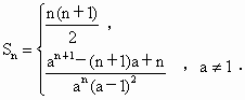
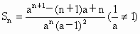
求和:

答案:略
解析:

解:当,即a=1时,

,即a1时,

综上


练习册系列答案
相关习题

科目:高中数学 来源: 题型:

(请注意求和符号:f(k)+f(k+1)+f(k+2)+…+f(n)=
n
i=k
f(i)
,其中k,n为正整数且k≤n)
已知常数a为正实数,曲线Cn:y=
nx
在其上一点Pn(xnyn)处的切线Ln
总经过定点(-a,0)(n∈N*
(1)求证:点列:P1,P2,…,Pn在同一直线上
(2)求证:ln(n+1)<
n
i=1
a
yi
<2
n
(n∈N*

查看答案和解析>>

科目:高中数学 来源: 题型:

14、已知集合M={x|1≤x≤4,x∈N},对它的非空子集A,可将A中每个元素k,都乘以(-1)k再求和(如A={1,2,4},可求得和为(-1)1•1+(-1)2•2+(-1)4•4=5),则对M的所有非空子集,这些和的总和是
16

查看答案和解析>>

科目:高中数学 来源: 题型:

已知数列{an}(n为正整数)是首项是a1,公比为q的等比数列.
(1)求和:a1C20-a2C21+a3C22,a1C30-a2C31+a3C32-a4C33
(2)由(1)的结果归纳概括出关于正整数n的一个结论,并加以证明.
(3)设q≠1,Sn是等比数列{an}的前n项和,求:S1Cn0-S2Cn1+S3Cn2-S4Cn3+…+(-1)nSn+1Cnn

查看答案和解析>>

科目:高中数学 来源: 题型:

f(x)=
x
a(x+2)
,方程f(x)=x有唯一解,已知f(xn)=xn+1(n∈N*),且f(x1)=
1
1005

(1)求数列{xn}的通项公式;
(2)若an=
4-4017xn
xn
,且bn=
a
2
n+1
+
a
2
n
2an+1an
(n∈N*)
,求和Sn=b1+b2+…+bn
(3)问:是否存在最小整数m,使得对任意n∈N*,有f(xn)<
m
2010
成立,若存在,求出m的值;若不存在,说明理由.

查看答案和解析>>

科目:高中数学 来源: 题型:

函数f(x)对任意x∈R都有f(x)+f(1-x)=
1
2
成立.
(Ⅰ)求和f(
1
n
)
+f(
n-1
n
)
(n∈N*)的值;
(Ⅱ)数列{an}满足条件;an=f(0)+f(
1
n
)+f(
2
n
)+…+f(
n-1
n
)+f(1)
,试证:数列{an}是等差数列.

查看答案和解析>>

同步练习册答案