精英家教网 > 高中数学 > 题目详情
已知函数f(x)=1n(ax+1)+(x≥0,a为正实数).
(Ⅰ)若a=1,求曲线y=f(x)在点(1,f(1))处的切线方程;
(Ⅱ)求函数f(x)的单调区间;
(Ⅲ)若函数f(x)的最小值为1,求a的取值范围.
【答案】分析:(Ⅰ)先对函数求导,然后根据导数的几何意义可求切线斜率k=f′(1),进而可求切线方程
(Ⅱ)先对函数求导,可得.通过讨论a-2的正负,判断导数在[0,+∞)上的符号,以判断函数的单调区间
(Ⅲ)结合(II)中函数单调区间,可求函数取得最小值的条件及最小值,从而可求a的范围
解答:解:(Ⅰ)当a=1时,f(x)=1n(x+1)+
.…(2分)
所以f′(1)=0.又f(1)=ln2,因此所求的切线方程为y=ln2.…(4分)
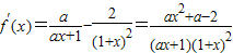
(Ⅱ).…(5分)
(1)当a-2≥0,即a≥2时,因为x≥0,所以f′(x)>0,所以函数f(x)在[0,+∞)上单调递增.…(6分)
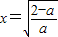
(2)当a-2<0,即0<a<2时,令f′(x)=0,则ax2+a-2=0(x≥0),所以
因此,当x∈[0,)时,f′(x)<0,当x∈(,+∞)时,f′(x)>0,.
所以函数f(x)的单调递增区间为(,+∞),,函数f(x)的单调递减区间为[0,)…(10分)
(Ⅲ)当a≥2时,函数f(x)在[0,+∞)上单调递增,则f(x)的最小值为f(0)=1,满足题意.…(11分)
当0<a<2时,由(Ⅱ)知函数f(x)的单调递增区间为(,+∞),函数f(x)的单调递减区间为[0,
则f(x)的最小值为f(),而f(0)=1,不合题意.
所以a的取值范围是[2,+∞).…(13分)
点评:本题主要考查了函数的导数在切线方程求解、函数的单调区间的求解及利用单调性求解函数的最值中的应用,注意分类讨论思想的应用.
练习册系列答案
相关习题

科目:高中数学 来源: 题型:

已知函数f(x)=
1
|x|
,g(x)=1+
x+|x|
2
,若f(x)>g(x),则实数x的取值范围是(  )
A、(-∞,-1)∪(0,1)
B、(-∞,-1)∪(0,
-1+
5
2
)
C、(-1,0)∪(
-1+
5
2
,+∞)
D、(-1,0)∪(0,
-1+
5
2
)

查看答案和解析>>

科目:高中数学 来源: 题型:

已知函数f(x)=
1,x∈Q
0,x∉Q
,则f[f(π)]=(  )

查看答案和解析>>

科目:高中数学 来源: 题型:

已知函数f(x)=
1-x
ax
+lnx(a>0)

(1)若函数f(x)在[1,+∞)上为增函数,求实数a的取值范围;
(2)当a=1时,求f(x)在[
1
2
,2
]上的最大值和最小值;
(3)当a=1时,求证对任意大于1的正整数n,lnn>
1
2
+
1
3
+
1
4
+
+
1
n
恒成立.

查看答案和解析>>

科目:高中数学 来源: 题型:

已知函数f(x)=1+cos2x-2sin2(x-
π
6
),其中x∈R,则下列结论中正确的是(  )

查看答案和解析>>

科目:高中数学 来源: 题型:

已知函数f(x)=1+logax(a>0,a≠1),满足f(9)=3,则f-1(log92)的值是(  )

查看答案和解析>>

同步练习册答案