精英家教网 > 高中数学 > 题目详情

由动点P引圆的两条切线PA、PB,直线PA、PB的斜率分别为

(1)若,求动点P的轨迹方程;

(2)若点P在x+y=m上,且PA⊥PB,求实数m的取值范围.

答案:略
解析:

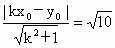
(1)P(),则,且,切线l.由l与圆相切,得,化简整理得

由韦达定理及,得

化简得

P点的轨迹方程为

(2)∵点P()xy=m上,∴

PAPB,∴,即,将

代入化简得

由△≥0,得

经检验,m的取值范围为[]


提示:

要善于将题设条件转化为数学式,如圆的切线写成

PAPB写成等.


练习册系列答案
相关习题

科目:高中数学 来源: 题型:

从⊙O外一点P引圆的两条切线PA,PB及一条割线PCD,A、B为切点.求证:
AC
BC
=
AD
BD
精英家教网

查看答案和解析>>

科目:高中数学 来源: 题型:044

在直角坐标系中,由动点P引圆的两条切线PAPB.直线PAPB的斜率分别为

(1),求动点P的轨迹方程.

(2)若点P在直线xy=t上,且PAPB,求实数t的取值范围.

查看答案和解析>>

科目:高中数学 来源: 题型:044

由动点P引圆的两条切线PAPB,直线PAPB的斜率分别为

(1),求动点P的轨迹方程;

(2)若点Pxy=m上,且PAPB,求实数m的取值范围.

查看答案和解析>>

科目:高中数学 来源:数学教研室 题型:044

在直角坐标系中,由动点P引圆的两条切线PA、PB.直线PA、PB的斜率分别为

(1)若,求动点P的轨迹方程.

(2)若点P在直线x+y=t上,且PA⊥PB,求实数t的取值范围.

查看答案和解析>>

同步练习册答案