精英家教网 > 高中数学 > 题目详情
已知函数的图象在x=0和处的切线互相平行,则实数a=   
【答案】分析:由求导公式和法则求出导数,再把x=0、代入求出导数值,再根据直线平行的充要条件建立方程求a.
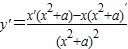
解答:解:由题意得,=
把x=0代入得,y′=
代入得,y′=
由题意得,=
解得a=-1.
故答案为:-1.
点评:本题考查了导数的几何意义,即某点处的切线的斜率是该点出的导数值,以及直线平行的充要条件的应用.
练习册系列答案
相关习题

科目:高中数学 来源: 题型:

(08年正定中学一模理) (12分) 已知函数的图象在x=2处的切线互相平行.

     (1)求t的值.

(2)设恒成立,求a的取值范围.

查看答案和解析>>

科目:高中数学 来源: 题型:

已知函数的图象在x=2处的切线互相平行.

   (1)求t的值.

(2)设恒成立,求a的取值范围.

查看答案和解析>>

科目:高中数学 来源: 题型:

已知函数的图象在x = 2处的切线互相平行.

(1)求t的值;

(2)设恒成立,求a的取值范围

查看答案和解析>>

科目:高中数学 来源: 题型:

已知函数的图象在x=0和处的切线互相平行,则实数a=  

查看答案和解析>>

科目:高中数学 来源:2012-2013学年北京市西城区(北区)高二(下)期末数学试卷(理科)(解析版) 题型:填空题

已知函数的图象在x=0和处的切线互相平行,则实数a=   

查看答案和解析>>

同步练习册答案