精英家教网 > 高中数学 > 题目详情
已知sin(2α+β)=3sinβ,设tanα=x,tanβ=y,记y=f(x),其中,β≠,α+β≠,k∈Z.
(1)求y=f(x)的表达式;
(2)定义数列an,an+12=2anf(an),(n∈N*
①证明数列是等比数列;
②设,Sn为数列bn的前n项和,求使成立的最小n的值.
【答案】分析:(1)分别把题设等式中两边变形后利用两角和公式展开整理求得tan(α+β)=2tanα,然后利用正切的两角和公式展开后,用x和y表示,整理出y关于x的函数解析式.
(2)①利用(1)中函数的解析式整理求得理,利用等比数列的定义判定出数列为等比数列.
②利用(2)可求得数列的通项公式,进而求得bn,利用等比数列的求和公式求得Sn的表达式,利用题设不等式求得n的范围,则n的最小值可得.
解答:解:(1)sin(2α+β)=3sinβ变形得sin[α+(α+β)]=3sin[(α+β)-α]
化简得tan(α+β)=2tanα
所以,所以
从而
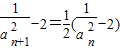
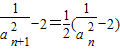
(2)①由,变形得
整理得
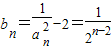
所以数列是首项为2,公比为的等比数列.
,所以
,则2n>64=26,所以n>6,
所以n的最小值为7.
点评:本题主要考查了三角函数与数列的综合.数列是高考中的热点问题,一般要与函数,不等式,三角函数,对数函数等问题综合考查,平时应注意这方面的练习.
练习册系列答案
相关习题

科目:高中数学 来源: 题型:

已知sinα+cosα=
2
,则tanα+cotα等于(  )
A、-1B、-2C、1D、2

查看答案和解析>>

科目:高中数学 来源: 题型:

已知sin(
π2
+α)=m,则cos(π-α)=
 

查看答案和解析>>

科目:高中数学 来源: 题型:

已知sin(
π
2
+α)=
1
3
,则cos2α的值为(  )

查看答案和解析>>

科目:高中数学 来源: 题型:

(2012•辽宁)已知sinα-cosα=
2
,α∈(0,π),则sin2α=(  )

查看答案和解析>>

科目:高中数学 来源: 题型:

已知sin(π-α)=-2sin(
π2
+α)
,则tanα=
-2
-2

查看答案和解析>>

同步练习册答案