精英家教网 > 高中数学 > 题目详情
命题p:x2-3x-4>0,命题q:≥1,若(q∧¬p)为真,求x的取值范围.
【答案】分析:先化简命题p,q,然后利用(q∧¬p)为真,求出x的取值范围.
解答:解:由x2-3x-4>0,解得x>4或x<-1,即p:x>4或x<-1.¬p:-1≤x≤4.
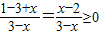
≥1得-1≥0,即
所以,解得2≤x<3,即q:2≤x<3.
若(q∧¬p)为真,则q为真,¬p为真,所以q为假.
所以此时有,解得2≤x<3.
所以x的取值范围是2≤x<3.
点评:本题主要考查复合命题的应用,要求熟练掌握复合命题和简单命题的真假关系.
练习册系列答案
相关习题

科目:高中数学 来源: 题型:

命题p:x2-3x-4>0,命题q:
13-x
≥1,若(q∧¬p)为真,求x的取值范围.

查看答案和解析>>

科目:高中数学 来源: 题型:

已知λ,x∈R,命题p:x2-3x+2>0,命题q:存在实数λ使得
a
b
,则
a
b

(1)写出p的否定,判断真假并说明理由;
(2)写出q的否命题,判断真假并说明理由.

查看答案和解析>>

科目:高中数学 来源: 题型:

已知命题p:x2-3x-4≤0;q:(x-1)2-a2≥0(a>0).若p是?q的充分不必要条件,求a的取值范围.

查看答案和解析>>

科目:高中数学 来源: 题型:解答题

已知λ,x∈R,命题p:x2-3x+2>0,命题q:存在实数λ使得数学公式,则数学公式
(1)写出p的否定,判断真假并说明理由;
(2)写出q的否命题,判断真假并说明理由.

查看答案和解析>>

科目:高中数学 来源:不详 题型:解答题

命题p:x2-3x-4>0,命题q:
1
3-x
≥1,若(q∧¬p)为真,求x的取值范围.

查看答案和解析>>

同步练习册答案