精英家教网 > 高中数学 > 题目详情
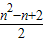
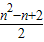
如图,它满足:(1)第n行首尾两数均为n;(2)图中的递推关系类似杨辉三角,则第n(n≥2)行的第2个数是   
【答案】分析:设第n(n≥2)行的第2个数构成数列{an},则有a3-a2=2,a4-a3=3,a5-a4=4,…,an-an-1=n-1,相加得an
解答:解:设第n(n≥2)行的第2个数构成数列{an},则有a3-a2=2,a4-a3=3,a5-a4=4,…,an-an-1=n-1,
相加得an-a2=2+3++(n-1)=×(n-2)
=
an=2+=
故答案为:
点评:本题考查数列的性质和应用,解题时要认真审题,仔细解答.
练习册系列答案
相关习题

科目:高中数学 来源: 题型:

精英家教网如图,它满足:(1)第n行首尾两数均为n;(2)图中的递推关系类似杨辉三角,则第n(n≥2)行的第2个数是
 

查看答案和解析>>

科目:高中数学 来源: 题型:

.如图,它满足:

(1)第n行首尾两数均为n ;

(2)图中的递推关系类似杨辉三角.

 则第n行(n≥2)第2个数是_________.

查看答案和解析>>

科目:高中数学 来源:2012-2013学年河南省高三第三轮适应性考试理科数学试卷(解析版) 题型:填空题

如图,它满足:

(1)第行首尾两数均为

(2)表中的递推关系类似杨辉三角,则第个数是        

 

查看答案和解析>>

科目:高中数学 来源:2007年重庆市南开中学高考数学一模试卷(文科)(解析版) 题型:解答题

如图,它满足:(1)第n行首尾两数均为n;(2)图中的递推关系类似杨辉三角,则第n(n≥2)行的第2个数是   

查看答案和解析>>

科目:高中数学 来源:2009年江苏省苏州市高三第一次摸底数学试卷(解析版) 题型:解答题

如图,它满足:(1)第n行首尾两数均为n;(2)图中的递推关系类似杨辉三角,则第n(n≥2)行的第2个数是   

查看答案和解析>>

同步练习册答案