精英家教网 > 高中数学 > 题目详情
化简求值:
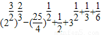
(1)
(2)
【答案】分析:(1)将根式写成分数指数幂的形式,再利用运算性质化简;(2)将每一个对数化简到最简,再利用运算性质化简.
解答:解:(1)原式==
(2)原式=
点评:本题考察指对运算性质,属基础题,注意(2)中化简的技巧.
练习册系列答案
相关习题

科目:高中数学 来源: 题型:

化简求值:(1+tan2θ)cos2θ=
 

查看答案和解析>>

科目:高中数学 来源: 题型:

化简求值:
(1)
4(-2)4

(2)
3(x-6)3
 (x<6)
(3)a3
3a2
•a 
1
3
; 
(4)27 
1
6
-3 
1
2
+16 
3
4
-(
1
2
-2

查看答案和解析>>

科目:高中数学 来源: 题型:

化简求值:
(1)(2
7
9
)0.5+0.1-2-π0+
1
3

(2)(lg2)2+lg2lg5+
(lg2)2-lg4+1

查看答案和解析>>

科目:高中数学 来源: 题型:

化简求值:
(1)
sin(2π-α)sin(π+α)cos(-π-α)
cos(
π
2
+α)sin(3π-α)cos(π-α)

(2)log2.56.25+lg
1
100
+ln
e
+21+log23

查看答案和解析>>

科目:高中数学 来源: 题型:

化简求值:
(1)0.064
1
3
-(
1
8
)0+16
3
4
+0.36
1
2

(2)log2.56.25+lg
1
100
+ln
e
+2log23

查看答案和解析>>

同步练习册答案