精英家教网 > 高中数学 > 题目详情
函数,若f(1)+f(α)=2,则α的所有可能值的集合为   
【答案】分析:由已知,先求出f(1)=e1-1=e=1,所以f(α)=1,再根据对α的取值分类,代入相应的解析式,列方程求解.
解答:解:由已知,f(1)=e1-1=e=1,
所以f(α)=1
当-1<α<0时,0<πα2<π
由sin(πα2)=1,得πα2=,α=
当α≥0时,
由eα-1=1,得α-1=0,α=1
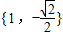
综上所述,α的所有可能值的集合为
故答案为:
点评:本题实质上考查分段函数求函数值,按照由内到外的顺序逐步求解.要确定好自变量的取值或范围,再代入相应的解析式求得对应的函数值.
练习册系列答案
相关习题

科目:高中数学 来源: 题型:

12、对于函数y=f(x),定义域为D,以下命题正确的是(只要求写出命题的序号)

①若f(-1)=f(1),f(-2)=f(2),则y=f(x)是D上的偶函数;
②若f(-1)<f(0)<f(1)<f(2),则y=f(x)是D上的递增函数;
③若f'(2)=0,则y=f(x)在x=2处一定有极大值或极小值;
④若?x∈D,都有f(x+1)=f(-x+3)成立,则y=f(x)图象关于直线x=2对称.

查看答案和解析>>

科目:高中数学 来源:不详 题型:填空题

对于函数y=f(x),定义域为D,以下命题正确的是(只要求写出命题的序号) ______;
①若f(-1)=f(1),f(-2)=f(2),则y=f(x)是D上的偶函数;
②若f(-1)<f(0)<f(1)<f(2),则y=f(x)是D上的递增函数;
③若f'(2)=0,则y=f(x)在x=2处一定有极大值或极小值;
④若?x∈D,都有f(x+1)=f(-x+3)成立,则y=f(x)图象关于直线x=2对称.

查看答案和解析>>

科目:高中数学 来源:2008-2009学年浙江省温州市八校联考高三(上)入学数学试卷(理科)(解析版) 题型:填空题

对于函数y=f(x),定义域为D,以下命题正确的是(只要求写出命题的序号)    
①若f(-1)=f(1),f(-2)=f(2),则y=f(x)是D上的偶函数;
②若f(-1)<f(0)<f(1)<f(2),则y=f(x)是D上的递增函数;
③若f'(2)=0,则y=f(x)在x=2处一定有极大值或极小值;
④若?x∈D,都有f(x+1)=f(-x+3)成立,则y=f(x)图象关于直线x=2对称.

查看答案和解析>>

科目:高中数学 来源:2010年北京市首师大附中高三大练习数学试卷08(理科)(解析版) 题型:填空题

对于函数y=f(x),定义域为D,以下命题正确的是(只要求写出命题的序号)    
①若f(-1)=f(1),f(-2)=f(2),则y=f(x)是D上的偶函数;
②若f(-1)<f(0)<f(1)<f(2),则y=f(x)是D上的递增函数;
③若f'(2)=0,则y=f(x)在x=2处一定有极大值或极小值;
④若?x∈D,都有f(x+1)=f(-x+3)成立,则y=f(x)图象关于直线x=2对称.

查看答案和解析>>

科目:高中数学 来源:2010年北京市首师大附中高三大练习数学试卷09(文科)(解析版) 题型:填空题

对于函数y=f(x),定义域为D,以下命题正确的是(只要求写出命题的序号)    
①若f(-1)=f(1),f(-2)=f(2),则y=f(x)是D上的偶函数;
②若f(-1)<f(0)<f(1)<f(2),则y=f(x)是D上的递增函数;
③若f'(2)=0,则y=f(x)在x=2处一定有极大值或极小值;
④若?x∈D,都有f(x+1)=f(-x+3)成立,则y=f(x)图象关于直线x=2对称.

查看答案和解析>>

同步练习册答案