精英家教网 > 高中数学 > 题目详情
已知数列{an}中,,则a2013=   
【答案】分析:,两边取倒数得,可得数列{}是以为首项,3为公差的等差数列,从而可得结论.
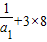
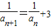
解答:解:∵,∴an≠0.
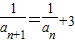
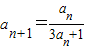
,两边取倒数得,即
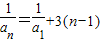
∴数列{}是以为首项,3为公差的等差数列,∴
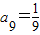
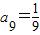
,∴9=,解得a1=


∴a2013=
故答案为:
点评:本题考查数列递推式,考查等差数列的通项,考查学生分析解决问题的能力,属于中档题.
练习册系列答案
相关习题

科目:高中数学 来源: 题型:

已知数列{an}中,a1=1,an+1-an=
1
3n+1
(n∈N*)
,则
lim
n→∞
an
=
 

查看答案和解析>>

科目:高中数学 来源: 题型:

已知数列{an}中,a1=1,an+1=
an
1+2an
,则{an}的通项公式an=
1
2n-1
1
2n-1

查看答案和解析>>

科目:高中数学 来源: 题型:

已知数列{an}中,a1=1,a1+2a2+3a3+…+nan=
n+1
2
an+1(n∈N*)

(1)求数列{an}的通项公式;
(2)求数列{
2n
an
}
的前n项和Tn

查看答案和解析>>

科目:高中数学 来源: 题型:

已知数列{an}中,a1=
1
2
Sn
为数列的前n项和,且Sn
1
an
的一个等比中项为n(n∈N*
),则
lim
n→∞
Sn
=
1
1

查看答案和解析>>

科目:高中数学 来源: 题型:

已知数列{an}中,a1=1,2nan+1=(n+1)an,则数列{an}的通项公式为(  )
A、
n
2n
B、
n
2n-1
C、
n
2n-1
D、
n+1
2n

查看答案和解析>>

同步练习册答案