精英家教网 > 高中数学 > 题目详情
设A={x,y},B={1,xy},若A=B,求x.
【答案】分析:集合A和集合B各给出了两个元素,由元素相等,结合集合中元素的互异性可分类求出x的取值.
解答:解:由A={x,y},B={1,xy},
因为A=B,
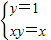
所以①或
结合集合中元素的互异性,当y≠1时,由①得x=1;
当y=1时,x为不等于1的所有实数.
故当y≠1时,x=1;
当y=1时,x为不等于1的所有实数.
点评:本题考查了集合相等的概念,考查了集合中元素的特性,考查了分类讨论的数学思想方法,是基础题.
练习册系列答案
相关习题

科目:高中数学 来源: 题型:

设A={x,y},B={1,xy},若A=B,求x.

查看答案和解析>>

科目:高中数学 来源: 题型:

在直角坐标系数xOy中,设
a
=(x,y),
b
=(cosθ,sinθ)(θ∈R)
,则原点O到直 线
a
b
=p的距离等于
 

查看答案和解析>>

科目:高中数学 来源: 题型:

(本题满分12分)设A(xy)、B(xy) 是椭圆(a >  b > 0) 上的两点, = (),且满足· = 0,椭圆的离心率e = ,短轴长为2,O为坐标原点.(1)求椭圆的方程;(2)若存在斜率为k的直线AB过椭圆的焦点F(0,c)(c为半焦距),求直线AB的斜率k的值.

查看答案和解析>>

科目:高中数学 来源: 题型:解答题

设A={x,y},B={1,xy},若A=B,求x.

查看答案和解析>>

科目:高中数学 来源:不详 题型:解答题

设A={x,y},B={1,xy},若A=B,求x.

查看答案和解析>>

同步练习册答案