精英家教网 > 高中数学 > 题目详情
已知函数
(1)求函数f(x)的最小值和最小正周期;
(2)设△ABC的内角A、B、C、的对边分别为a、b、c,且c=,f(C)=0,若向量与向量共线,求a,b.
【答案】分析:(1)利用三角函数的二倍角公式化简f(x),根据三角函数的有界性求出最小值,根据三角函数的周期公式求出f(x)周期.
(2)利用f(C)=0求出角C,利用余弦定理得到边a,b,c的关系;利用向量共线的充要条件得到三角函数的等量关系,利用正弦定理得到边a,b,c的另一个等式,解方程组求出a,b的长.
解答:解:(1)
f(x)的最小正周期为π
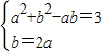
(2)由c=,f(C)=0,得
由向量与向量共线,
得sinB=2sinA,
∴b=2a
解方程组
得a=1,b=2
点评:解决三角函数的性质问题,一般先利用三角函数的公式化简三角函数为y=Asin(ωx+φ)+k形式,然后再求函数的性质;解决三角形有关的问题,一般利用正弦定理、余弦定理进行解决.
练习册系列答案
相关习题

科目:高中数学 来源: 题型:

已知函数f(x)=Asin(ωx+φ)(A>0,ω>0,|φ|<
π
2
)的图象和y轴交于(0,1)且y轴右侧的第一个最大值、最小值点分别为P(x0,2)和Q(x0+3π,-2).
(1)求函数y=f(x)的解析式及x0
(2)求函数y=f(x)的单调递减区间;
(3)如果将y=f(x)图象上所有点的横坐标缩短到原来的
1
3
(纵坐标不变),然后再将所得图象沿x轴负方向平移
π
3
个单位,最后将y=f(x)图象上所有点的纵坐标缩短到原来的
1
2
(横坐标不变)得到函数y=g(x)的图象,写出函数y=g(x)的解析式并给出y=|g(x)|的对称轴方程.

查看答案和解析>>

科目:高中数学 来源: 题型:

已知函数f(x)=Asin(3x+φ) ( A>0,x∈(-∞,+∞),0<φ<π ) 在x=
π
12
时取得最大值4.
(1)求函数f(x)的最小正周期及解析式;
(2)求函数f(x)的单调增区间;
(3)求函数f(x)在[0,
π
3
]
上的值域.

查看答案和解析>>

科目:高中数学 来源: 题型:

已知函数 (1)求函数在区间[1,]上的最大值、最小值;

(2)求证:在区间(1,)上,函数图象在函数图象的下方;

(3)设函数,求证:。(

查看答案和解析>>

科目:高中数学 来源:2008-2009学年湖北省仙桃一中高三(上)第二次段考数学试卷(理科)(解析版) 题型:解答题

已知函数
(1)求函数f(x)的最小正周期和最小值;
(2)在给出的直角坐标系中,用描点法画出函数y=f(x)在区间[0,π]上的图象.

查看答案和解析>>

科目:高中数学 来源:2011-2012学年山东省枣庄市高三上学期期末检测理科数学 题型:解答题

(本题满分12分)

已知函数

(1)求函数的极值点;

(2)若直线过点(0,—1),并且与曲线相切,求直线的方程;

(3)设函数,其中,求函数上的最小值.(其中e为自然对数的底数)

 

 

查看答案和解析>>

同步练习册答案