精英家教网 > 高中数学 > 题目详情
已知f(3x+1)=x2-2x,则f(4)=   
【答案】分析:方法1,利用换元法,先求出f(x)的表达式,然后求f(4).
方法2,直接利用3x+1=4,解出x,然后代入即可.
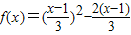
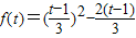
解答:解:方法1:设t=3x+1,则x=,所以原式等价为,即
所以
方法2:由f(3x+1)=x2-2x得f(4)=f(3×1+1)=12-2×1=1-2=-1.
故答案为:-1.
点评:本题的考点是函数解析式的求解,对于复合函数的解析式在求解时通常是使用换元法.
练习册系列答案
相关习题

科目:高中数学 来源: 题型:

已知f(x)=
3x+1,x≥0
x2,x<0
,则f(-
2
)
=(  )

查看答案和解析>>

科目:高中数学 来源: 题型:

已知f(x)=
3x+1 x≥0
|x| x<0
,则f(f(-
2
))
=(  )

查看答案和解析>>

科目:高中数学 来源: 题型:

已知f(3x+1)=x2-2x,则f(4)=
-1
-1

查看答案和解析>>

科目:高中数学 来源: 题型:

已知f(3x+1)=9x2-6x+5,则f(-2)=
20
20

查看答案和解析>>

科目:高中数学 来源: 题型:

已知f(x)=3x+1,   a,b (0,+ ∞), 若|x-1|<b,则 |f(x)-4|<a,则a,b之间的关系为(   )
  A.3b≤a     B. 3a≤b     C.3b>a     D.3a≥b

查看答案和解析>>

同步练习册答案