精英家教网 > 高中数学 > 题目详情
已知椭圆C的中心在原点,焦点F1,F2在x轴上,离心率,且经过点
(1)求椭圆C的方程;
(2)若直线l经过椭圆C的右焦点F2,且
与椭圆C交于A,B两点,使得|F1A|,|AB|,|BF1|依次成等差数列,求直线l的方程.

【答案】分析:(1)先设椭圆C的方程根据离心率和点M求得a和b,进而可得答案.
(2)设直线l的方程为,代入(1)中所求的椭圆C的方程,消去y,设A(x1,y1),B(x2,y2),进而可得到x1+x2和x1•x2的表达式,根据F1A|+|BF1|=2|AB|求得k,再判断直线l⊥x轴时,直线方程不符合题意.最后可得答案.
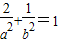
解答:解:(1)设椭圆C的方程为,(其中a>b>0)
由题意得,且,解得a2=4,b2=2,c2=2,
所以椭圆C的方程为
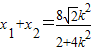
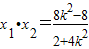
(2)设直线l的方程为,代入椭圆C的方程
化简得
设A(x1,y1),B(x2,y2),则
由于|F1A|,|AB|,|BF1|依次成等差数列,则|F1A|+|BF1|=2|AB|.
而|F1A|+|AB|+|BF1|=4a=8,所以.=,解得k=±1;
当直线l⊥x轴时,,代入得y=±1,|AB|=2,不合题意.
所以,直线l的方程为
点评:本题主要考查了椭圆的标准方程和椭圆与其他曲线的关系.要求学生综合掌握如直线、椭圆、抛物线等圆锥曲线的基本性质.
练习册系列答案
相关习题

科目:高中数学 来源:山东省济宁市2012届高二下学期期末考试理科数学 题型:解答题

(本小题满分14分) 已知在平面直角坐标系xoy中的一个椭圆,它的中心在原

点,左焦

(1)求该椭圆的标准方程;

(2)若P是椭圆上的动点,求线段PA中点M的轨迹方程;

(3)过原点O的直线交椭圆于点B、C,求△ABC面积的最大值。

 

查看答案和解析>>

科目:高中数学 来源:2012届山东省高二下学期期末考试理科数学 题型:解答题

(本小题满分14分) 已知在平面直角坐标系xoy中的一个椭圆,它的中心在原

(1)求该椭圆的标准方程;

(2)若P是椭圆上的动点,求线段PA中点M的轨迹方程;

(3)过原点O的直线交椭圆于点B、C,求△ABC面积的最大值。

 

查看答案和解析>>

同步练习册答案