精英家教网 > 高中数学 > 题目详情
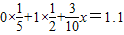
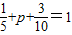
随机变量ξ的分布列为
ξ1x
Pp
且Eξ=1.1,则p=    ;x=   
【答案】分析:由离散型随机变量的概率和等于1列式求p的值,由期望公式列式求解x的值.
解答:解:由,得p=
由Eξ=,得x=2.
故答案为;2.
点评:本题考查了离散型随机变量及其分布列,考查了离散型随机变量的期望公式,解答的关键是理解并掌握离散型随机变量的概率和等于1,是基础题.
练习册系列答案
相关习题

科目:高中数学 来源: 题型:

设随机变量X的分布列为P(X=k)=
k
15
,k=1,2,3,4,5,则P(
1
2
<X<
5
2
)
等于(  )
A、
2
15
B、
2
5
C、
1
5
D、
1
15

查看答案和解析>>

科目:高中数学 来源: 题型:

已知随机变量X的分布列为P(X=k)=
1
3
,k=1,2,3,则D(3X+5)等于(  )

查看答案和解析>>

科目:高中数学 来源: 题型:

设随机变量X的分布列为:
X 1 2 3 n
P k 2k 4k   2n-1•k
则k=
 

查看答案和解析>>

科目:高中数学 来源: 题型:

设随机变量X的分布列为:
X 1 2 3
p 0.5 x y
EX=
15
8
,则y=(  )

查看答案和解析>>

科目:高中数学 来源: 题型:

设随机变量X的分布列为P(X=k)=
k
10
(k=1,2,3,4)
,则P(1<X≤3)等于(  )

查看答案和解析>>

同步练习册答案