精英家教网 > 高中数学 > 题目详情
已知函数f(x)=ax2+bx+1(a,b为实数),x∈R,
(1)若f(-1)=0,且函数f(x)的值域为[0,+∞),求F(x)的表达式;
(2)在(1)的条件下,当x∈[-2,2]时,g(x)=f(x)-kx是单调函数,求实数k的取值范围;
(3)设m>0,n<0,m+n>0,a>0且f(x)为偶函数,判断F(m)+F(n)能否大于零?
【答案】分析:(1)f(-1)=0⇒a-b+1=0,又值域为[0,+∞)即最小值为0⇒4a-b2=0,求出f(x)的表达式再求F(x)的表达式即可;
(2)把g(x)的对称轴求出和区间端点值进行分类讨论即可.
(3)f(x)为偶函数⇒对称轴为0⇒b=0,把F(m)+F(n)转化为f(m)-f(n)=a(m2-n2)再利用m>0,n<0,m+n>0,a>0来判断即可.
解答:解:(1)∵f(-1)=0,
∴a-b+1=0①(1分)
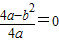
又函数f(x)的值域为[0,+∞),所以a≠0
且由即4a-b2=0②
由①②得a=1,b=2(3分)
∴f(x)=x2+2x+1=(x+1)2
(5分)
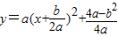
(2)由(1)有g(x)=f(x)-kx=x2+2x+1-kx=x2+(2-k)x+1=,(7分)
时,
即k≥6或k≤-2时,g(x)是具有单调性.(9分)
(3)∵f(x)是偶函数
∴f(x)=ax2+1,∴,(11分)
∵m>0,n<0,设m>n,则n<0.又m+n>0,m>-n>0,
∴|m|>|-n|(13分)
∴F(m)+F(n)=f(m)-f(n)=(am2+1)-an2-1=a(m2-n2)>0,
∴F(m)+F(n)能大于零.(16分)
点评:本题是对二次函数性质的综合考查.其中(1)考查了二次函数解析式的求法.二次函数解析式的确定,应视具体问题,灵活的选用其形式,再根据题设条件列方程组,即运用待定系数法来求解.在具体问题中,常常会与图象的平移,对称,函数的周期性,奇偶性等知识有机的结合在一起.
练习册系列答案
相关习题

科目:高中数学 来源: 题型:

已知函数f(x)=
a-x2
x
+lnx  (a∈R , x∈[
1
2
 , 2])

(1)当a∈[-2,
1
4
)
时,求f(x)的最大值;
(2)设g(x)=[f(x)-lnx]•x2,k是g(x)图象上不同两点的连线的斜率,否存在实数a,使得k≤1恒成立?若存在,求a的取值范围;若不存在,请说明理由.

查看答案和解析>>

科目:高中数学 来源: 题型:

(2009•海淀区二模)已知函数f(x)=a-2x的图象过原点,则不等式f(x)>
34
的解集为
(-∞,-2)
(-∞,-2)

查看答案和解析>>

科目:高中数学 来源: 题型:

已知函数f(x)=a|x|的图象经过点(1,3),解不等式f(
2x
)>3

查看答案和解析>>

科目:高中数学 来源: 题型:

已知函数f(x)=a•2x+b•3x,其中常数a,b满足a•b≠0
(1)若a•b>0,判断函数f(x)的单调性;
(2)若a=-3b,求f(x+1)>f(x)时的x的取值范围.

查看答案和解析>>

科目:高中数学 来源: 题型:

已知函数f(x)=a-2|x|+1(a≠0),定义函数F(x)=
f(x)   ,  x>0
-f(x) ,    x<0
 给出下列命题:①F(x)=|f(x)|; ②函数F(x)是奇函数;③当a<0时,若mn<0,m+n>0,总有F(m)+F(n)<0成立,其中所有正确命题的序号是
 

查看答案和解析>>

同步练习册答案