精英家教网 > 高中数学 > 题目详情
已知a1=b1=1,an+1=bn+n,bn+1=an+(-1)n,n∈N*
(1)求a3,a5的值;
(2)求通项公式an
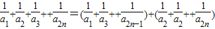
(3)求证:
【答案】分析:(1)根据an+1=bn+n,bn+1=an+(-1)n,可知a3=a1+1,a5=a3+3求得答案.
(2)分别看数列项数为奇数和偶数时,利用叠加法求得通项公式an
(3)分别看n为奇数和偶数时,把(2)中求得的通项公式代入中,利用裂项法证明原式.
解答:解:(1)b2=a1-1=0,∴a3=b2+2=2,a5=a3+3=5;
(2)由题意,a3=a1+1,a5=a3+3,,a2n-1=a2n-3+(2n-3),

同理,a2n=n2+n,∴
(3)当n≥3时,
,∴

点评:本题主要考查了数列的递推式求数列的通项公式和求和问题.考查了学生数列问题的综合把握.
练习册系列答案
相关习题

科目:高中数学 来源: 题型:

已知a1=b1=1,an+1=bn+n,bn+1=an+(-1)n,n∈N*
(1)求a3,a5的值;
(2)求通项公式an
(3)求证:
1
a1
+
1
a2
+
1
a3
+…+
1
an
13
4

查看答案和解析>>

科目:高中数学 来源: 题型:

在等差数列{an},等比数列{bn}中,已知a1=b1=1,a2=b2≠1,a8=b3
(1)求数列{an}的公差d和数列{bn}的公比q;
(2)是否存在常数x,y,使得对一切正整数n,都有an=logxbn+y成立?若存在,求出x和y;若不存在,说明理由.

查看答案和解析>>

科目:高中数学 来源: 题型:

在公差为d(d≠0)的等差数列{an}和公比为q的等比数列{bn}中,已知a1=b1=1,a2=b2,a8=b3
(1)求数列{an}与{bn}的通项公式;
(2)令cn=an•bn,求数列{cn}的前n项和Tn

查看答案和解析>>

科目:高中数学 来源: 题型:

在公差为d(d≠0)的等差数列{an}及公比为q的等比数列{bn}中,已知a1=b1=1,a2=b2,a8=b3,则d=
5
5
;q=
6
6

查看答案和解析>>

科目:高中数学 来源: 题型:

已知a1=b1=1,an+1=bn+n,bn+1=an+(-1)n+1n∈N*
(1)求数列{an}的通项
(2)求证:
2n
k=1
1
ak
7
2
(出题者个人认为:隔项数列很有可能成为今年的重点)

查看答案和解析>>

同步练习册答案