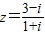
复数

的虚部为( )
A.2
B.-2
C.2i
D.-2i
【答案】
分析:由复数的代数运算可化简复数,可得其虚部.
解答:解:由题意可得

=

=

=

=1-2i,
故其虚部为:-2
故选B
点评:本题考查复数代数形式的乘除运算,涉及复数的基本概念,属基础题.
练习册系列答案
相关习题
科目:高中数学
来源:2013-2014学年四川成都七中高三“一诊”模拟考试理科数学试卷(解析版)
题型:选择题
复数
的虚部为( )
A.-2
B.-1 C.0
D.1
查看答案和解析>>
科目:高中数学
来源:2013-2014学年四川成都七中高三“一诊”模拟考试文科数学试卷(解析版)
题型:选择题
复数
的虚部为( )
A.-2
B.-1
C.0
D.1
查看答案和解析>>
科目:高中数学
来源:2014届陕西省高二下学期期中考试文科数学试卷(解析版)
题型:选择题
复数
的虚部为( )
A.-l B.-i C.-
D.
查看答案和解析>>
科目:高中数学
来源:2012-2013学年广东省高三高考预测数学试卷(解析版)
题型:选择题
查看答案和解析>>
科目:高中数学
来源:2011-2012学年贵州省毕节市高三上学期第三次月考理科数学试卷
题型:选择题
查看答案和解析>>