精英家教网 > 高中数学 > 题目详情
已知各项均为正数的数列{an}前n项和为Sn,首项为a1,且,an,Sn成等差数列.
(1)求数列{an}的通项公式;
(2)若an2=(bn,设cn=,求数列{cn}的前n项和Tn
【答案】分析:(Ⅰ)由题意知,当n=1时,得a1=;当n≥2时,,两式相减得an=Sn-Sn-1=2an-2an-1,由此能求出数列{an}的通项公式.
(Ⅱ)由,知bn=4-2n,故,由此利用错位相减法能求出数列{cn}的前n项和Tn
解答:(本小题满分12分)
解:(Ⅰ)由题意知,…(1分)
当n=1时,2a1=a1+,解得a1=
当n≥2时,
两式相减得an=Sn-Sn-1=2an-2an-1…(3分)
整理得:…(4分)
∴数列{an}是以为首项,2为公比的等比数列.
.…(5分)
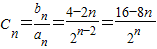
(Ⅱ)
∴bn=4-2n,…(6分)
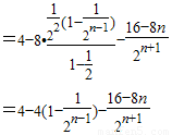
…①
…②
①-②得…(9分)
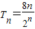
=.…(11分)
.…(12分)
点评:本题考查数列的通项公式和前n项和公式的求法,解题时要认真审题,仔细解答,注意迭代法和错位相减法的合理运用.
练习册系列答案
相关习题

科目:高中数学 来源: 题型:

已知各项均为正数的数列{an}满足an+12=2an2+anan+1,a2+a4=2a3+4,其中n∈N*
(Ⅰ)求数{an}的通项公式;
(Ⅱ)设数{bn}的前n项和Tn,令bn=an2,其中n∈N*,试比较
Tn+1+12
4Tn
2log2bn+1+2
2log2bn-1
的大小,并加以证明.

查看答案和解析>>

科目:高中数学 来源: 题型:解答题

已知各项均为正数的数列{an}满足an+12=2an2+anan+1,a2+a4=2a3+4,其中n∈N*
(Ⅰ)求数{an}的通项公式;
(Ⅱ)设数{bn}的前n项和Tn,令bn=an2,其中n∈N*,试比较数学公式数学公式的大小,并加以证明.

查看答案和解析>>

科目:高中数学 来源:青岛二模 题型:解答题

已知各项均为正数的数列{an}满足an+12=2an2+anan+1,a2+a4=2a3+4,其中n∈N*
(Ⅰ)求数{an}的通项公式;
(Ⅱ)设数{bn}的前n项和Tn,令bn=an2,其中n∈N*,试比较
Tn+1+12
4Tn
2log2bn+1+2
2log2bn-1
的大小,并加以证明.

查看答案和解析>>

科目:高中数学 来源:《第2章 数列》、《第3章 不等式》2010年单元测试卷(陈经纶中学)(解析版) 题型:解答题

已知各项均为正数的数列{an}满足an+12=2an2+anan+1,a2+a4=2a3+4,其中n∈N*
(Ⅰ)求数{an}的通项公式;
(Ⅱ)设数{bn}的前n项和Tn,令bn=an2,其中n∈N*,试比较的大小,并加以证明.

查看答案和解析>>

科目:高中数学 来源:2012年高考复习方案配套课标版月考数学试卷(二)(解析版) 题型:解答题

已知各项均为正数的数列{an}满足an+12=2an2+anan+1,a2+a4=2a3+4,其中n∈N*
(Ⅰ)求数{an}的通项公式;
(Ⅱ)设数{bn}的前n项和Tn,令bn=an2,其中n∈N*,试比较的大小,并加以证明.

查看答案和解析>>

同步练习册答案