精英家教网 > 高中数学 > 题目详情
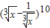
的展开式中的有理项共有( )
A.1项
B.2项
C.3项
D.4项
【答案】分析:先求出二项式展开式的通项公式,再令x的幂指数为有理数,求得r的值,即可求得展开式中的有理项.
解答:解:的展开式的通项公式为 Tr+1=•(-1)r=(-1)r
 为正数,则r=2、5、8,故展开式中的有理项共有3项,
故选C.
点评:本题主要考查二项式定理的应用,二项式展开式的通项公式,求展开式中某项的系数,属于中档题.
练习册系列答案
相关习题

科目:高中数学 来源: 题型:

下列命题
①命题“若am2>bm2,则a>b”的逆命题是真命题;
②若
a
=(4,3)
b
=(-2,1)
,则
b
a
上的投影是-
5

③在(
x
+
2
4x
16的二项展开式中,有理项共有4项;
④已知一组正数x1,x2,x3,x4的方差为s2=
1
4
(x12+x22+x32+x42-16)
,则数据x1+2,x2+2,x3+2,x4+2的平均数为4;
⑤复数
3+2i
i
的共轭复数是a+bi(a,b∈R),则ab=-6.
其中真命题的个数为(  )

查看答案和解析>>

科目:高中数学 来源: 题型:

(本题共3小题,第一小题6分,第二小题5分,第三小题5分,共16分)

的展开式中,已知第5项的系数与第3项的系数之比是

(1)求展开式中所有项的系数之和及奇数项的二项式系数之和;

(2)求展开式中的所有有理项;

(3)求展开式中系数绝对值最大的项.

注:所涉及的系数均用数字作答

查看答案和解析>>

科目:高中数学 来源:2012年上海市财大附中高三4月检测数学试卷(解析版) 题型:选择题

下列命题
①命题“若am2>bm2,则a>b”的逆命题是真命题;
②若,则上的投影是
③在(+16的二项展开式中,有理项共有4项;
④已知一组正数x1,x2,x3,x4的方差为,则数据x1+2,x2+2,x3+2,x4+2的平均数为4;
⑤复数的共轭复数是a+bi(a,b∈R),则ab=-6.
其中真命题的个数为( )
A.0
B.1
C.2
D.3

查看答案和解析>>

同步练习册答案