精英家教网 > 高中数学 > 题目详情
①求函数y=的定义域;
②求函数y=x+的值域.
【答案】分析:①利用求函数定义域的方法将函数转化为解不等式问题.
②利用换元法将含有根式的函数转化为一元二次函数,然后在求值域.
解答:解:①要使函数有意义,则有x2+x-2>0,解得x>1或x<-2,即函数的定义域为:{x|x>1或x<-2}.
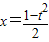
②令,所以,所以原式等价
因为t≥0,所以y≤1,即函数y=x+的值域为(-∞,1].
点评:本题的考点是求函数定义域和值域.要求熟练掌握求函数的定义域和值域的基本方法.
练习册系列答案
相关习题

科目:高中数学 来源: 题型:

求函数y=的定义域.

查看答案和解析>>

科目:高中数学 来源: 题型:

求函数y=的定义域.

查看答案和解析>>

科目:高中数学 来源: 题型:

求函数y=的定义域.

      

查看答案和解析>>

科目:高中数学 来源: 题型:

求函数y=的定义域.

查看答案和解析>>

科目:高中数学 来源:2011-2012学年安徽省安庆市望江三中高一(上)第一次月考数学试卷(解析版) 题型:解答题

求函数y=的定义域.

查看答案和解析>>

同步练习册答案